阿摩線上測驗
登入
首頁
>
專技 - 藥劑學(包括生物藥劑學)
>
94年 - 94-2 專技檢覈_藥師:藥劑學#12829
> 試題詳解
23 一般欲增加液體潤濕固體之能力時,下列何種方法不適合?
(A)降低液體與固體之接觸角
(B)選擇界面張力較低溶媒
(C)提高液相與氣相之界面張力
(D)降低液面與固體之界面張力
答案:
登入後查看
統計:
A(44), B(53), C(370), D(9), E(0) #496862
詳解 (共 3 筆)
菜餅
B2 · 2023/04/12
#5774811
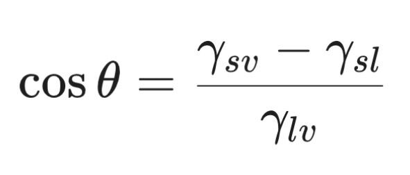
章節 : 膠體、介面活性劑濕潤現象角度小...
(共 47 字,隱藏中)
前往觀看
11
0
豆豆
B1 · 2018/05/27
#2816781
(C)降低液相與氣相之界面張力
(共 18 字,隱藏中)
前往觀看
0
1
Kita Ikuyo
B3 · 2026/04/05
#7332471
0
0
相關試題
57 一個細胞置入含有營養瓊脂(nutrient agar)的培養皿中,如果每30 分鐘細胞數加倍,且培養皿在12 小時內完全填滿,則細胞充滿培養皿一半需時多少小時? (A) 6 (B) 8.5 (C) 10 (D) 11.5
#496896
58 以多次靜脈注射方式給藥時,達到一半穩定狀態藥物濃度所需時間受到下列那個因子影響? (A)投藥的總次數 (B)藥物的半衰期 (C)注射的一次劑量 (D)注射的起始劑量
#496897
59 已知某藥物投予到體內的藥量為200 mg,在藥物濃度為10 µg/mL 時該藥物自體內排除速率為0.5 mg/min,下列敘述何者正確? (A)出清率為50 mL/min (B)排除速率常數為0.025/min (C)分布體積為20 mL (D)排除分率為1/100/min
#496898
60 某抗生素以靜脈注射給與500 mg單次劑量後,其體內動態在健康成人依循一室式模式,血中藥物濃度之經時變化可由 (Cp : mg/L,t : hour)表示,該藥物經過6 小時後其體內藥物量為若干mg? (A) 25 (B) 70 (C) 125 (D) 250
#496899
61 有關製備快速溶解(<30秒)之口服舌下劑型,下列因素無需特別考慮: (A)如何覆蓋口服舌下劑型之口感(taste masking) (B)如何解決口服舌下劑型之脆性(friability) (C)如何增加藥物之溶解度與舌下吸收速率 (D)如何減少藥物受胃排空影響藥物吸收
#496900
62 在USP 25 規定的溶離試驗中,作為需要崩散錠片校準用標準品,含下列那個藥品? (A) Salicylic acid (B) Aspirin (C) Prednisone (D) Digoxin
#496901
63 Penicillins 會和下列何藥物競爭相同的白蛋白結合位置而發生取代(displacement)反應? (A) Phenytoin (B) Benzodiazepines (C) Valproic acid (D) Sulfonamides
#496902
64 經注射投予Ranitidine 後均會產生雙波峰現象,其最主要原因為何? (A)胃腸排空的差異性 (B)食物的影響 (C)處方設計不良 (D)腸肝再循環
#496903
65 當藥品以恒速靜脈輸注方式給藥時,下列敘述何者正確? (A)達穩定濃度所需時間與輸注速率成正比 (B)達穩定濃度值與藥物之半衰期成反比 (C)達穩定濃度值與藥物在體內之出清率成反比 (D)達穩定濃度所需時間與藥物之半衰期無關
#496904
66 下列那一種藥物溶液劑之吸收會受胃排空時間之影響? (A) Atenolol (B) Furosemide (C) Hydrochlorothiazide (D) Salicylic acid
#496905
相關試卷
115年 - 115-1 專技高考_藥師(一):藥學(三)(包括藥劑學與生物藥劑學)#137354
2026 年 · #137354
114年 - 114-2 專技高考_藥師(一):藥學(三)(包括藥劑學與生物藥劑學)#128925
2025 年 · #128925
114年 - 114-1 專技高考_藥師(一):藥學(三)(包括藥劑學與生物藥劑學)#125120
2025 年 · #125120
113年 - 113-2 專技高考_藥師(一):藥劑學與生物藥劑學#121688
2024 年 · #121688
113年 - 113-1 專技高考_藥師(一):藥劑學與生物藥劑學#118720
2024 年 · #118720
112年 - 112-2 專技高考_藥師(一):藥劑學與生物藥劑學#115916
2023 年 · #115916
112年 - 112-1 專技高考_藥師(一):藥劑學與生物藥劑學#113163
2023 年 · #113163
111年 - 111-2 專技高考_藥師(一):藥劑學與生物藥劑學#109900
2022 年 · #109900
111年 - 111-1 專技高考_藥師(一):藥劑學與生物藥劑學#106169
2022 年 · #106169
110年 - 110-2 專技高考_藥師(一):藥劑學與生物藥劑學#100434
2021 年 · #100434