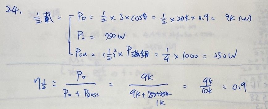
24配電用變壓器容量為 20kVA,鐵損為 750W,滿載銅損為 1000W,負載功率因數為 0.9,在
負載時之效率為多少?
(A) 100%
(B) 90%
(C) 85%
(D) 80%
答案:登入後查看
統計: A(10), B(451), C(37), D(16), E(0) #1917504
統計: A(10), B(451), C(37), D(16), E(0) #1917504
詳解 (共 3 筆)
#5182488

1
0