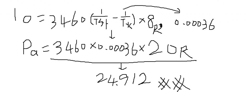
24 假設正向煙囪效應在中性帶以上 8 m 處的壓差為 10 Pa,若建築物內、外的溫差不變,中性帶以上 20 m
處的壓差為多少?
(A) 15 Pa
(B) 20 Pa
(C) 25 Pa
(D) 30 Pa
答案:登入後查看
統計: A(383), B(433), C(3784), D(195), E(0) #1622317
統計: A(383), B(433), C(3784), D(195), E(0) #1622317
詳解 (共 10 筆)
#3336715

45
0
#2714481
8比10=20比25
39
0
#3344977

27
0
#5041756
交叉相乘會相等
8m =10pa
X
20m= ?
20x10/8=25
9
0