阿摩線上測驗
登入
首頁
>
普通化學
>
103年 - 103 臺灣菸酒股份有限公司_從業職員及從業評價職位人員甄試_從業評價職位人員/化工、化工-原住民組、身心障礙組:普通化學#25691
> 試題詳解
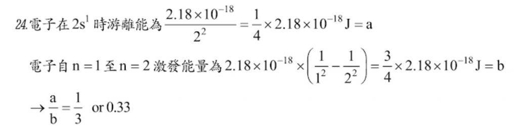
24.氫原子中電子在各軌域能量為
,假設氫原子之電子在 2s
1
軌域時的游離能為 a J, 而電子自 n=1 躍遷至 n=2 之激發能量為 b J,則
之比值為下列何者?
(A) 0.33
(B) 0.75
(C) 1.33
(D) 3.00
答案:
登入後查看
統計:
A(63), B(19), C(25), D(7), E(0) #930312
詳解 (共 2 筆)
emily889168
B1 · 2018/06/11
#2844638
E2=(2.18*10^-18)/2^2...
(共 102 字,隱藏中)
前往觀看
12
0
江戶川兩津
B2 · 2019/01/08
#3149983
5
0
相關試題
16.某不純 K2CO3(s)試料 0.690 g 溶於水,以 0.100 M HCl(aq)滴定,加入 50.0 mL 後因滴加過量,故再以 0.150 N 之 NaOH(aq)反滴定,當加入 2.0 mL 後恰達當量點,請問試料中含 K2CO3(s)純度百分率為:(K=39) (A) 44% (B) 47% (C) 53% (D) 56%
#930304
17.某溫度 t°C 時,純水中之[H+ ]=210-8M,則下列何者正確?(log2=0.30) (A)(B) t>25°C (C) pH>pOH (D) pH+pOH=15.4
#930305
18.下列何種金屬之氧化數最低? (A) BaO (B) Fe2O3 (C) TiO2 (D) CrO3
#930306
19.下列配位化合物,何者的中心金屬離子氧化數為+2,且配位數為 4(en 表乙二胺)? (A) [Co(en)Cl2] (B) [Pt(NH3)2Cl4] (C) K4[Ni(CN)4] (D) [Cr(NH3)2(C2O4)2]
#930307
20.若 Kc 為濃度平衡常數,而 Kp 為分壓平衡常數,以下哪一反應的 Kc 與 Kp 相同? (A) 2NO2(g) →N2O4(g) (B) CO(g)+3H2(g) →CH4(g)+H2O(g) (C) H2(g)+I2(g) →2HI(g) (D) PCl5(g) →PCl3(g)+Cl2(g)
#930308
21.已平衡的化學反應:2N2O5(g) →4NO2(g)+O2(g) ,當加熱後,有關平衡的移動方向及平衡常 數值的變化,下列敘述何者正確? (A)向左方,平衡常數值變小 (B)向右方,平衡常數值變小 (C)平衡不移動,平衡常數值不變 (D)向右方,平衡常數值變大
#930309
22.醋酸與醋酸鈉的混合液中,若醋酸濃度為 0.10 M,醋酸鈉濃度為 0.20 M,則醋酸的解離百分率為 多少? (A) 0.009% (B) 0.018% (C) 0.027% (D) 0.036%
#930310
23.在一個密封的容器裡放置甲、乙、丙三個燒瓶,其中甲加入 10 mL,0.1 M 的 NaCl 溶液,乙加入 10 mL,0.2 M 的 NaCl 溶液,丙加入 20 mL,0.1 M 的 NaCl 溶液。經長時間達成平衡後,乙燒瓶中 NaCl 溶液的體積為多少 mL? (A) 8 (B) 12 (C) 16 (D) 20
#930311
25.三聚氰胺的分子如右圖所示,每個分子含有多少個 σ 鍵?多少個 π 鍵? (A) 3σ,9π (B) 9σ,3π (C) 15σ,3π (D) 3σ,15π
#930313
26.矽是半導體,有關矽之敘述,下列何者正確? (A)若於矽中加入少量電子予體,如磷,則成 n-型半導體 (B)導電性隨溫度升高而減少 (C)加入雜質將降低其導電性 (D)矽類似石墨的結構,以 sp 2 鍵結
#930314
相關試卷
114年 - 114 臺灣菸酒股份有限公司_從業職員及從業評價職位人員甄試試題_從業評價職位人員:普通化學#136041
2025 年 · #136041
113年 - 113 臺灣菸酒股份有限公司_從業職員及從業評價職位人員甄試試題_從業評價職位人員_化工(中區):普通化學#137382
2024 年 · #137382
113年 - 113 臺灣菸酒股份有限公司_從業職員及從業評價職位人員甄試試題_從業評價職位人員:普通化學#123497
2024 年 · #123497
112年 - 112 臺灣菸酒股份有限公司_從業職員及從業評價職位人員甄試_從業職員/化工:普通化學#137418
2023 年 · #137418
112年 - 112 臺灣菸酒股份有限公司_從業職員及從業評價職位人員甄試_從業評價職位人員/化工、製瓶、化粧品調製:普通化學#117774
2023 年 · #117774
112年 - 112 嘉南藥理大學_日間部四年制單獨招生藥學系考試試題_四技一年級:化學#116247
2023 年 · #116247
111年 - 111 臺灣菸酒股份有限公司_從業職員及從業評價職位人員甄試試題_從業職員/化工 (中 區 ) 、化工 (南一區 ) 、 化工 (東區 ):普通化學#137465
2022 年 · #137465
110年 - 110 臺灣菸酒股份有限公司_從業職員及從業評價職位人員甄試_從業職員/化工:普通化學#111425
2021 年 · #111425
110年 - 110 中央印製廠_新進人員甄試_化工技術員:普通化學#105317
2021 年 · #105317
109年 - 109 中國醫藥大學_學士班寒假轉學招生考試試題:普通化學#99451
2020 年 · #99451