24. 應變規(Strain Gauge)式的壓力量測,當受壓時,下列何者敘述是正確的?
(A) 其長度縮短,截面積減小,電阻變大
(B) 其長度縮短,截面積減小,電阻變小
(C) 其長度拉長,截面積減小,電阻變大
(D) 其長度拉長,截面積減小,電阻變小
答案:登入後查看
統計: A(160), B(123), C(982), D(103), E(0) #2647791
統計: A(160), B(123), C(982), D(103), E(0) #2647791
詳解 (共 1 筆)
#7259648

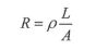
導線的電阻值R : P(L/A) P(導線電阻係數) L(導線長度cm)A(導線截面積cm2)
在此題目為同一條導線,P為固定值因此省略
以R=L/A做題
ㅤㅤ
(A)(B)其長度縮短,截面積減小,電阻變大;L變小、A變小->R應該會不變,但題目給的沒有說實際縮短、減小多少,就當作是等比例縮短減小吧。
(C)(D)其長度拉長,截面積減小,電阻變大;L變大、A變小->R變大
ㅤㅤ
自動控制P.217
2
0