阿摩線上測驗
登入
首頁
>
台電◆電工機械
>
107年 - 107-12 台灣電力公司_新進僱用人員甄試:電工機械#73757
> 試題詳解
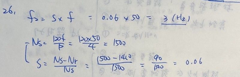
26. 一台4極50 Hz之三相感應電動機,其轉子速率為1410 rpm,請問轉子之頻率為多少?
(A) 1 Hz
(B) 2 Hz
(C) 3 Hz
(D) 4 Hz
答案:
登入後查看
統計:
A(5), B(18), C(454), D(8), E(0) #1917556
詳解 (共 2 筆)
boy789q
B1 · 2019/04/07
#3280177
轉速 = 60 * (頻率 ➗ 極數)6...
(共 153 字,隱藏中)
前往觀看
2
1
Elvis Lee
B2 · 2021/11/02
#5190200
1
0
私人筆記 (共 1 筆)
摩友(100006037726337)
2023/01/22
私人筆記#4836871
未解鎖
個人答案試寫(僅供參考)
(共 12 字,隱藏中)
前往觀看
7
0
相關試題
1. 有關直流機補償繞組,下列敘述何者有誤? (A)可抵消電樞反應 (B)補償繞組裝設在主磁極的極面上 (C)補償繞組上的電流方向與其對應的電樞繞組方向相反 (D)補償繞組必須與電樞繞組並聯
#1917531
2. 分激式直流發電機的磁場線圈兩端若反接,則下列敘述何者正確? (A)旋轉方向改變 (B)電壓方向改變 (C)電刷處產生火花 (D)電壓無法建立
#1917532
3. 一台4極直流發電機,若感應電動勢為200 V,電樞電流為150 A,電樞電阻為0.02 Ω,則端電 壓為多少? (A) 197 V (B) 200 V (C) 203 V (D) 206 V
#1917533
4. 串激式直流發電機供給電壓100 V,負載6 kW,若串激場電阻為0.1 Ω,電樞電阻為0.2 Ω,則 此發電機的感應電動勢為多少? (A) 118 V (B) 112 V (C) 106 V (D) 100 V
#1917534
5. 直流發電機電樞繞製之波繞與疊繞方法,下列敘述何者正確? (A)波繞時所需之換向片節距大於疊繞時所需之換向片節距 (B)波繞時使用前進式繞法較節省導線用量,疊繞時使用後退式繞法較節省導線用量 (C)使用波繞時需有均壓線,疊繞時則不需有均壓線 (D)波繞式用於低電壓大電流之電機,疊繞式用於高電壓小電流之電機
#1917535
6. 一台分激式直流發電機,若滿載電壓為120 V,電壓調整率為5 %,則無載電壓為多少? (A) 132 V (B) 126 V (C) 120 V (D) 114 V
#1917536
7. 一台240 V之分激式電動機,其電樞電阻為0.5 Ω,分激場電阻為40 Ω,忽略電刷壓降,滿載 時線路電流為50 A,轉速為1200 rpm,若不考慮電樞反應,則滿載時之反電勢為多少? (A)240V(B)238 V (C) 228 V (D) 218 V
#1917537
8. 有關直流電動機之速度控制,若採用電樞電阻控制法,則下列敘述何者正確? (A)功率損失大,速率調整佳 (B)功率損失大,速率調整差 (C)功率損失小,速率調整佳 (D)功率損失小,速率調整差
#1917538
9. 有關分激式直流電動機之速度控制方法,下列敘述何者正確? (A)增大電樞串聯電阻,可提高轉速 (B)減低磁場的磁通量,可降低轉速 (C)減低磁場的磁通量,可提高轉速 (D)增大電樞電壓,可降低轉速
#1917539
10. 一台串激式直流電動機,原供給電壓為420 V,電樞電流為40 A,轉速為1200 rpm,現供給電 壓降為400 V,若電樞電流不變(假設電樞線圈及激磁線圈的總電阻為0.5 Ω),則轉速將會變為 多少? (A)1140 rpm (B) 1160 rpm (C) 1180 rpm (D) 1200 rpm
#1917540
相關試卷
114年 - 114 台灣電力公司_新進僱用人員甄試試題:電工機械#127081
2025 年 · #127081
113年 - 113 台灣電力公司_新進僱用人員甄試試題:電工機械#119793
2024 年 · #119793
112年 - 112 台灣電力公司_新進僱用人員甄試試題:電工機械#114231
2023 年 · #114231
111年 - 111 台灣電力公司_新進僱用人員甄試:專業科目 A(電工機械)#107781
2022 年 · #107781
110年 - 110 台灣電力公司_新進僱用人員甄試試題:專業科目 A(電工機械)#98809
2021 年 · #98809
109年 - 109 台灣電力公司_新進僱用人員甄試:電工機械#86436
2020 年 · #86436
108年 - 108 台灣電力公司_新進僱用人員甄試:電工機械#78748
2019 年 · #78748
107年 - 107-12 台灣電力公司_新進僱用人員甄試:電工機械#73757
2018 年 · #73757
107年 - 107-05 台灣電力公司_新進僱用人員甄試:電工機械#73755
2018 年 · #73755
106年 - 106 台灣電力公司_新進僱用人員甄試:電工機械#63886
2017 年 · #63886