28.Dexamethasone之紅外光光譜主要吸收帶(band)為 A: 3140-3600 cm-1;B: 2750-3122 cm-1;C: 1705 cm-1;D: 1655 cm-1;則A吸收帶係下列何基團之吸收?
(A) O–H bending
(B) O–H stretching
(C) C–H stretching
(D) C=O stretching

(A) O–H bending
(B) O–H stretching
(C) C–H stretching
(D) C=O stretching
答案:登入後查看
統計: A(709), B(3582), C(148), D(157), E(0) #537259
統計: A(709), B(3582), C(148), D(157), E(0) #537259
詳解 (共 10 筆)
#1401885
只有指紋區(波數660-1250)有bending
212
2
#1360776
OH在3100-3500/cm有大的吸收帶,另外bending不會出現在這麼高的波數(3000/cm),故可先將a選項刪除。
45
0
#3076607
| 鍵結種類 | 吸收帶 |
| 單鍵stretching&bending C-O/C-C/C-N | 800-1300cm-1(指紋區) 指紋區才有bending!! |
| 雙鍵Stretching C=C/C=O/C=N/N=O | 1500-1900(cm-1) |
| 三鍵stretching CC三鍵/CN | 2000-2300cm-1 |
氫stretching | 2500-3700cm-1 |
40
0
#2902147
為什麼五樓被按負評
幫QQ
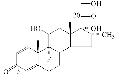
由dexamethasone(結構如下)之KBr錠,所得紅外線吸收光譜,主要吸收帶(band)為A: 3140-3600 cm -1;B: 2750-3122 cm -1;C: 1705 cm -1;D: 1655 cm -1;則此A吸收帶最可能為下列何基團之吸收?
(A) Alcoholic OH stretch (B) C-H stretch (C)C =O stretch (D)C =O stretch 20 3 編輯私有筆記及自訂標籤專技 - 藥物分析與生藥學(包括中藥學)- 100 年 - 100-1-藥師-藥物分析與生藥學(包括中藥學)#9928
答案:A
28
3
#2722844
4樓那題答案應該為A
26
6
#3948409
整合一下
| 鍵結種類 | 吸收帶(cm-1) |
| 單鍵stretching&bending C-O/C-C/C-N | 800-1300cm-1(指紋區) 指紋區才有bending!! |
| 雙鍵Stretching C=C/C=O/C=N/N=O | 1500-1900(cm-1) C=O:1700 酯類、酸類:>1700 Amide:<1700 |
| 三鍵stretching C三C/C三N | 2000-2300cm-1 |
氫stretching | 2500-3700cm-1 |
波數:伸縮(Stretching)振動 > 彎曲(Bending)振動
波數大小判斷:
1. 單鍵H > 三鍵 > 雙鍵 > 單鍵C
2. 陰電性較大的,波數較大
ex: O > N > C,F > Cl
18
1
#2595159
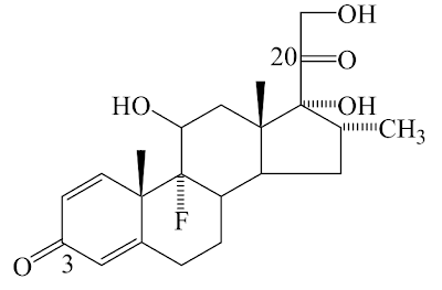
重新載圖B17 由dexamethasone(結構如下)之KBr錠,所得紅外線吸收光譜,主要吸收帶(band)為A: 3140-3600 cm -1;B: 2750-3122 cm -1;C: 1705 cm -1;D: 1655 cm -1;則此A吸收帶最可能為下列何基團之吸收?
(A) Alcoholic OH stretch
(B) C-H stretch
(C)C =O stretch
(D)C =O stretch 20 3
12
9