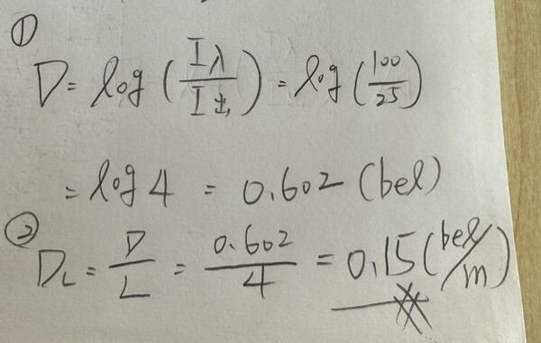
29. 有一光學密度實驗,當煙層厚度為 4 公尺時,測得透過煙層受光強度為原入射光強度之 25%時,則單位長度光學密度
大約為何?(log 2 = 0.3)
(A)0.11
(B) 0.15
(C) 0.21
(D)0.25
答案:登入後查看
統計: A(78), B(378), C(180), D(92), E(0) #3414522
統計: A(78), B(378), C(180), D(92), E(0) #3414522
詳解 (共 2 筆)
#6344023
我數學不好,覺得樓上的算法太難了,我自己是這樣算,不知道這樣是不是也可以?

25
0
#6345546


9
0