阿摩線上測驗
登入
首頁
>
私醫聯招◆普通化學
>
103年 - 私醫聯招-化學#67981
> 試題詳解
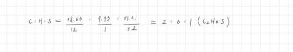
3. 一有機化合物的重量,其中 C 佔 38. 66% ,H 佔 9.73%及 S 佔 51.61%,則此化合物的簡式為下列何者?
(A) C
2
H
6
S
(B) C
3
H
8
S
(C) C
4
H
10
S
(D) C
4
H
8
S
答案:
登入後查看
統計:
A(399), B(33), C(10), D(8), E(0) #1760613
詳解 (共 1 筆)
Be.
B2 · 2022/12/01
#5670197
2
0
私人筆記 (共 1 筆)
Sunny
2024/05/17
私人筆記#5992165
未解鎖
(共 0 字,隱藏中)
前往觀看
1
0
相關試題
1. 試以科學記數法(scientific notation)來表示 0.000333。 (A) 333 × 10-6 (B) 3.33 × 10-3 (C) 33.3 × 10-4 (D) 3.33 × 10-4
#1760611
2. 下列相同重量的溶質溶在相同體積的溶劑所形成的溶液中,何者有最高的體積莫耳濃度? (A) NaOH (B) KCl (C) KOH (D) LiOH
#1760612
4. 含有的質子數、中子數及電子數分別為何?(A) 20, 20, 18 (B) 22, 20, 20 (C) 20, 22, 18 (D) 22, 18, 18
#1760614
5. 一個學生進行三次酸鹼滴定實驗,以決定一個鹽酸溶液之濃度,並獲得以下之結果: 如果該鹽酸溶液之實際濃度為 1.00 M,則該學生的實驗結果之準確度(accuracy)及精確度(precision)為何? (A) 既不精確也不準確 (B) 準確但不精確 (C) 精確但不準確 (D) 既精確又準確
#1760615
6.由下列已知的標準反應焓(△H0 ),計算反應 C2H2(g) + 2H2(g) → C2H6(g)之標準反應焓(△H0 ) (A) –24 kJ (B) –52 kJ (C) –234 kJ (D) –312 kJ
#1760616
7.一個 12.6 克的乙炔(C2H2)樣品,在放入彈式卡計[bomb calorimeter,其熱容(heat capacity)為 31.5 kJ/°C]反應後,溫度增 加 16.9 °C,因此可以得知乙炔的燃燒熱為何? (A) 532 kJ/mol (B) 1100 kJ/mol (C) -1100 kJ/mol (D) -532 kJ/mol
#1760617
8.有關反應 4HCl(g) + O2(g) ⇌ 2Cl2(g) + 2H2O(g),下列各項 Kc(濃度平衡常數)與 Kp(分壓平衡常數)關係式中,何者正確? (A) Kc = Kp (B) Kc = Kp × (4/5) (C) Kc = Kp × (RT)-1 (D) Kc = Kp × (RT)
#1760618
9.下列哪一個分子或離子具有兩個共振結構? (A) CO32– (B) NO3– (C) HCO32– (D) SO3
#1760619
10.反應式 2CO + O2→2CO2 其熱含量變化為?(鍵能: BE(C≡O) = 1074 kJ/mol,BE(O=O) = 499 kJ/mol,BE(C=O) = 802 kJ/mol) (A) + 2380 kJ/mol (B) –1744 kJ/mol (C) + 1949 kJ/mol (D) –561 kJ/mol
#1760620
11. 若反應 Ag2CO3(s) ⇌ 2Ag+ (aq) + CO32-(aq)的平衡常數為 K1;反應 的平衡常數為 K2,則反應 的平衡常數為以下何者?(A) K1/(K2) (B) K2/(K1) (C) K2/(K12) (D) K1/(K22)
#1760621
相關試卷
114年 - 114 私立醫學校院聯合招考轉學生考試試題:普通化學#129340
2025 年 · #129340
113年 - 113 私立醫學校院聯合招考轉學生考試試題:普通化學科#121981
2024 年 · #121981
112年 - 112 私立醫學校院聯合招考轉學生考試試題:普通化學科#116081
2023 年 · #116081
111年 - 111 私立醫學校院聯合招考轉學生考試試題:普通化學#110091
2022 年 · #110091
110年 - 110 私立醫學校院聯合招考轉學生考試:普通化學#100232
2021 年 · #100232
109年 - 109 私立醫學校院聯合招考_轉學考:普通化學#89775
2020 年 · #89775
108年 - 108 私醫聯招-普通化學#78417
2019 年 · #78417
107年 - 107 私醫聯招-普通化學#75185
2018 年 · #75185
106年 - 私醫聯招-化學考科#67354
2017 年 · #67354
105年 - 105年私醫聯招-普通化學#60636
2016 年 · #60636