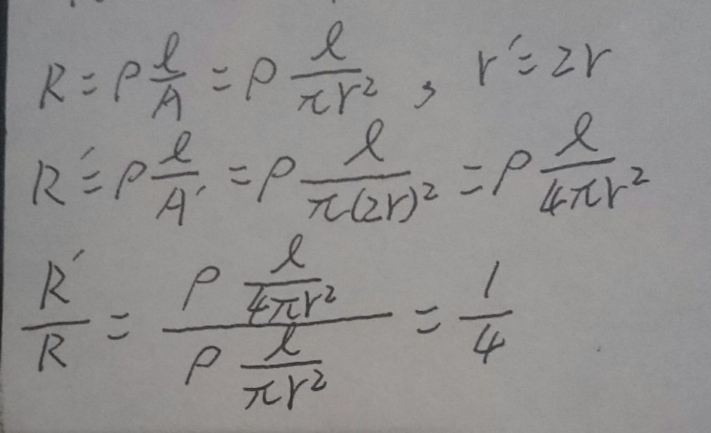
3. 單位長度的銅線,當銅線的直徑變為原來的兩倍時,電阻值變為原來的:
(A)
倍
(B)
倍
(C) 2倍
(D) 4倍
答案:登入後查看
統計: A(26), B(508), C(39), D(84), E(0) #2115485
統計: A(26), B(508), C(39), D(84), E(0) #2115485
