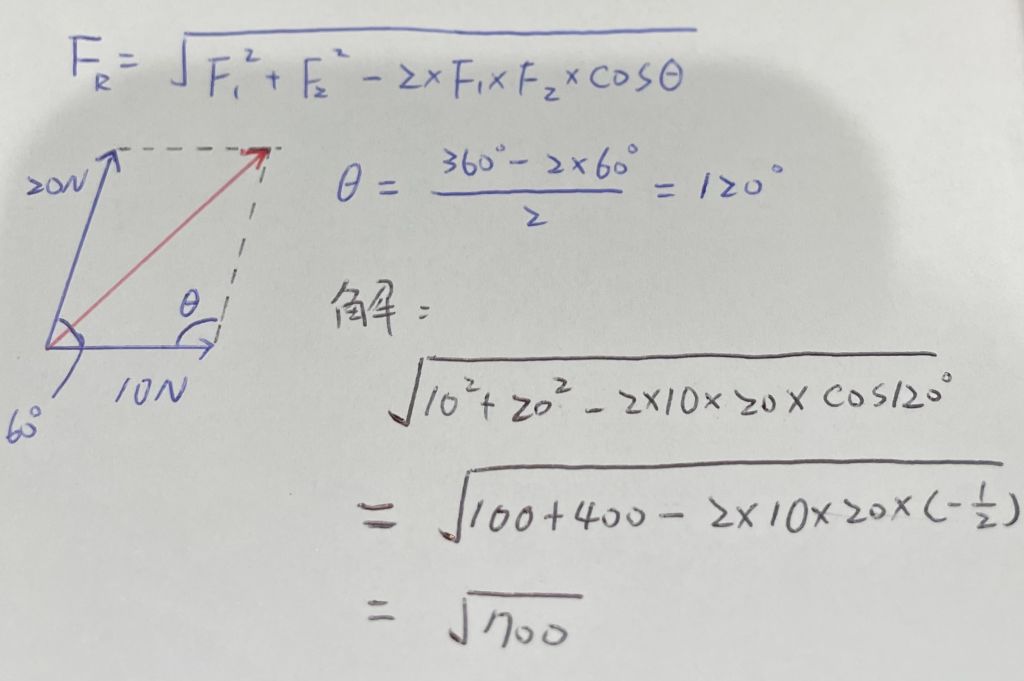
3. 若10牛頓與20牛頓兩力的夾角為60°,其合力大小為多少牛頓?
(A) √625
(B) √675
(C) √700
(D) √825 .
答案:登入後查看
統計: A(110), B(145), C(543), D(24), E(0) #2056758
統計: A(110), B(145), C(543), D(24), E(0) #2056758
詳解 (共 10 筆)
#4977453
向量合力三角形法

10
1
#6053954

3
1
#3816590
為什麼要加20平方
0
1