阿摩線上測驗
登入
首頁
>
台電◆電工機械
>
104年 - 104 台灣電力公司_新進僱用人員甄試:電工機械#63873
> 試題詳解
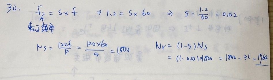
30. 一台四極60Hz之三相感應電動機,在額定電流及頻率下,已知轉子頻率為1.2Hz,則此電動機轉子轉速為多少rpm?
(A)1647
(B)1674
(C)1746
(D)1764。
答案:
登入後查看
統計:
A(3), B(8), C(23), D(354), E(0) #1639398
詳解 (共 2 筆)
林子耀
B1 · 2018/12/14
#3114598
SF=F2S*60=1.2S=0.021...
(共 39 字,隱藏中)
前往觀看
1
0
Elvis Lee
B2 · 2021/10/20
#5167643
0
0
私人筆記 (共 1 筆)
【給你考運】勞贖
2023/02/12
私人筆記#4880835
未解鎖
個人答案試寫(僅供參考)
(共 12 字,隱藏中)
前往觀看
6
0
相關試題
1. 如圖所示,當開關k閉合的瞬間,在電阻R中將產生何種方向之電流? (A)方向不一定 (B)由A流向B (C)由B流向A (D)不產生電流。
#1639369
2. 當導體以最大速率平行於磁力線進行運動,則所產生之感應電勢為下列哪一種情形? (A)零 (B)最小 (C)最大 (D)視電機而有所不同。
#1639370
3. 直流電機裝補償繞組之主要目的為下列哪一個? (A)增強主磁場 (B)增加電樞磁場 (C)增加轉速 (D)抵消電樞反應。
#1639371
4. 關於分激式直流發電機在自激建立電壓時必須具備之條件,下列何者有誤? (A)剩磁方向要適當 (B)負載特性要適當 (C)剩磁要足夠 (D)場電阻要夠低。
#1639372
5. 一般而言,外激式直流發電機之激磁電流大小與負載變化的關係為何? (A)成正比 (B)成反比 (C)無關 (D)成非線性關係。
#1639373
6. 一台20kW、200V之分激式直流發電機,其電樞電阻為0.05Ω,若忽略激磁場電流及電刷壓降,則其電壓調整率為多少%? (A)1 (B)1.5 (C)2 (D)2.5。
#1639374
7. 串激式直流電動機在磁路未達飽和範圍內將電樞電流由40A降低為30A則其產生的轉矩將變為原本的多少倍 (A) (B) (C) (D)。
#1639375
8 直流電動機之電樞電流為50A時,其產生的轉矩為100N-m,若磁場強度減為原來的60%,而電樞電流增為60A時,則其產生的轉矩變為多少N-m(牛頓-公尺)? (A)68 (B)72 (C)76 (D)80。
#1639376
9. 有關直流電機電樞反應之影響,下列何者有誤? (A)造成換向困難 (B)減少有效磁通 (C)增加電動機之轉矩 (D)降低發電機之感應電勢。
#1639377
10. 分激式直流發電機的轉速若改變為原本之倍時則發電機之磁滯損失變為原本的多少倍 (A) (B) (C) (D)。
#1639378
相關試卷
114年 - 114 台灣電力公司_新進僱用人員甄試試題:電工機械#127081
2025 年 · #127081
113年 - 113 台灣電力公司_新進僱用人員甄試試題:電工機械#119793
2024 年 · #119793
112年 - 112 台灣電力公司_新進僱用人員甄試試題:電工機械#114231
2023 年 · #114231
111年 - 111 台灣電力公司_新進僱用人員甄試:專業科目 A(電工機械)#107781
2022 年 · #107781
110年 - 110 台灣電力公司_新進僱用人員甄試試題:專業科目 A(電工機械)#98809
2021 年 · #98809
109年 - 109 台灣電力公司_新進僱用人員甄試:電工機械#86436
2020 年 · #86436
108年 - 108 台灣電力公司_新進僱用人員甄試:電工機械#78748
2019 年 · #78748
107年 - 107-12 台灣電力公司_新進僱用人員甄試:電工機械#73757
2018 年 · #73757
107年 - 107-05 台灣電力公司_新進僱用人員甄試:電工機械#73755
2018 年 · #73755
106年 - 106 台灣電力公司_新進僱用人員甄試:電工機械#63886
2017 年 · #63886