阿摩線上測驗
登入
首頁
>
教甄◆數學
>
108年 - 新北市立國民中學108學年度教師聯合甄選 - 數學#76636
> 試題詳解
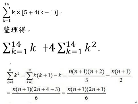
30. 試求級數
的和(每一項都是兩等差數列逐項相乘)。
(A) 4160
(B)4165
(C)4200
(D)4250
答案:
登入後查看
統計:
A(16), B(162), C(47), D(14), E(0) #2011695
詳解 (共 3 筆)
yulin
B2 · 2019/06/25
#3437063
(共 1 字,隱藏中)
前往觀看
18
0
陽光獅子女
B1 · 2019/06/17
#3417744
(共 1 字,隱藏中)
前往觀看
1
0
KILL ME PLEASE
B3 · 2021/05/09
#4708812
剩下就套公式
0
0
相關試題
1. 海拉魯平原上有兩座高塔,高度分別為 15, 20 公尺。現在分別從每一高塔的頂端向對面高塔的底面射出雷射光線, 兩光線在空中交於一點。請問該交點距離地面的高度為多少公尺? (A) (B)9 (C) (D)
#2011666
2. 坐標平面上,直線 ax + by + c = 0 不通過第二象限,其中 a, b, c 皆為非零常數。則直線 bx - cy + a = 0 必不通過哪一象限? (A)第一象限 (B)第二象限 (C)第三象限 (D)第四象限
#2011667
3. 已知某年的四月有三個星期日的日期是偶數。請問該年的四月 4 日是星期幾呢? (A) 星期日 (B) 星期二 (C) 星期四 (D) 星期六
#2011668
4. 坐標平面上,兩坐標均為整數的點稱為「格子點」。請問有多少個格子點與原點 (0,0) 的距離為? (A)4 (B)8 (C)16 (D)32
#2011669
5. 公園裡圍了一塊三角形的空地,其邊長分別是 7 公尺 20 公分、8 公尺 40 公分、10 公尺 80 公分。今公園管理處要在 此塊空地周圍擺盆栽,使得相鄰盆栽的間隔距離皆相等,並且三角形的三個頂點皆要放置盆栽。請問下列哪一個數 字,可以是放置盆栽的數量? (A) 21 (B) 33 (C) 38 (D) 44
#2011670
6. 下面哪一個多項式不能分解成兩個(至少一次的)實係數多項式的乘積? (A)x2 +2 (B)x3 +3 (C)x4 +4 (D)x5 +5
#2011671
7. 已知二次函數的圖形與 x 軸交於 (-1,0),(6,0) 兩點,而二次函數的圖形與 x 軸交於 (1,0),(4,0) 兩點。請問 a 值為何? (A) (B) (C) (D)
#2011672
8. 已知直線 L: 2x+3y=0 ,將 L 向右平移2 單位得到直線 L1 ,求 L1 的方程式。 (A) (B)(C)(D)
#2011673
9. 若聯立方程組 無解,則常數 a 之值為多少? (A)1 (B)0 (C) -1 (D) -2
#2011674
10. 滿足的正整數 (x ,y ,z ,w ) 共有幾組? (A) 210 (B) 330 (C) 495 (D) 715
#2011675
相關試卷
114年 - 114 國立臺灣藝術大學教育學程招生考試_綜合學科:數學#137131
2025 年 · #137131
114年 - 114 高雄市市立國民小學教師聯合甄選-專長類-普通科目試題:數學#131662
2025 年 · #131662
114年 - 114 澎湖縣國民小學暨附設幼兒園教師/代理教師甄選試題:數學#131655
2025 年 · #131655
114年 - 114 文藻外語大學師資培育中心__國民小學教師教育學程新生甄選試題:學科基本知識-數學#130715
2025 年 · #130715
114年 - 114-1 臺北市立復興高級中學_專任教師甄選試題:數學科#129383
2025 年 · #129383
114年 - 114-2 新竹市國民中學教師聯合甄選初試試題:數學科#128201
2025 年 · #128201
114年 - 114 臺南市市立國民中學_正式教師聯合甄選試題:數學專門科目#128066
2025 年 · #128066
114年 - 114 桃園市國民中學新進教師聯合甄選試題:數學科#127820
2025 年 · #127820
114年 - 114-2 國立嘉義高級中學_教師甄選:數學科#127613
2025 年 · #127613
114年 - 114 中區縣市政府教師甄選策略聯盟:國小數學科#127528
2025 年 · #127528