阿摩線上測驗
登入
首頁
>
台電◆電工機械
>
104年 - 104 台灣電力公司_新進僱用人員甄試:電工機械#63873
> 試題詳解
試題詳解
試卷:
104年 - 104 台灣電力公司_新進僱用人員甄試:電工機械#63873 |
科目:
台電◆電工機械
試卷資訊
試卷名稱:
104年 - 104 台灣電力公司_新進僱用人員甄試:電工機械#63873
年份:
104年
科目:
台電◆電工機械
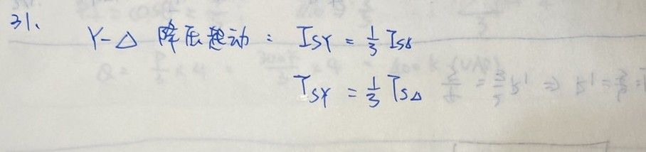
31. 一台5.5kW之三相感應電動機,以額定電壓220V直接起動時,起動電流為120A,起動轉矩為150%,請問若以Y-△降壓起動時,則起動電流及起動轉矩分別為多少?
(A)40A,50%
(B)40A,150%
(C),150%
(D)120A,50%。
正確答案:
登入後查看
詳解 (共 1 筆)
林子耀
B1 · 2018/12/14
推薦的詳解#3114603
未解鎖
Y-△降壓啟動:YIs=1/3△IsYt...
(共 30 字,隱藏中)
前往觀看
5
0
私人筆記 (共 1 筆)
【給你考運】勞贖
2023/02/12
私人筆記#4880836
未解鎖
個人答案試寫(僅供參考)
(共 12 字,隱藏中)
前往觀看
6
0