阿摩線上測驗
登入
首頁
>
台電◆電工機械
>
107年 - 107-12 台灣電力公司_新進僱用人員甄試:電工機械#73757
> 試題詳解
試題詳解
試卷:
107年 - 107-12 台灣電力公司_新進僱用人員甄試:電工機械#73757 |
科目:
台電◆電工機械
試卷資訊
試卷名稱:
107年 - 107-12 台灣電力公司_新進僱用人員甄試:電工機械#73757
年份:
107年
科目:
台電◆電工機械
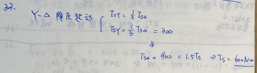
33. 一台三相感應電動機以Y- ∆降壓啟動時,啟動轉矩為300 N-m,若直接跨電源啟動時之啟動轉 矩為150 %,則此電動機之額定轉矩為多少?
(A) 200 N-m
(B) 400 N-m
(C) 600 N-m
(D) 800 N-m
正確答案:
登入後查看
詳解 (共 1 筆)
李丞祐
B1 · 2019/01/10
推薦的詳解#3154917
未解鎖
直接啟動轉矩=300*3=900900/...
(共 29 字,隱藏中)
前往觀看
13
0
私人筆記 (共 1 筆)
【給你考運】勞贖
2023/01/22
私人筆記#4836899
未解鎖
個人答案試寫(僅供參考)
(共 12 字,隱藏中)
前往觀看
7
0