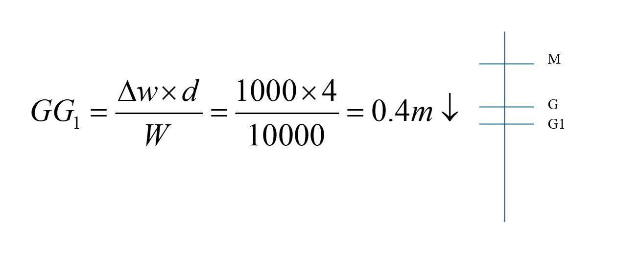
34. 某船排水量10,000噸,若將1,000噸貨物垂直向下移動4公尺,則其船舶定傾高GM之變化為何?
(A) 減少0.1公尺
(B) 增加0.1公尺
(C) 減少0.4公尺
(D) 增加0.4公尺
答案:登入後查看
統計: A(16), B(42), C(158), D(470), E(0) #2678172
統計: A(16), B(42), C(158), D(470), E(0) #2678172
