阿摩線上測驗
登入
首頁
>
船舶操作與船上人員管理(概要)
>
112年 - 112-1 航海人員測驗_一等船副:船舶操作與船上人員管理#113437
> 試題詳解
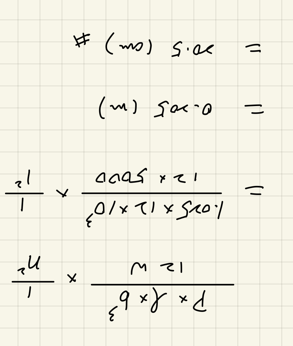
36. 排水量5000噸之船有一長12m寬10m之二重底艙。今打入比重1.025之海水,但具有自由液 面效應,則此船之視重心(Virtual center of gravity)上升量為多少公分?
(A) 16.5
(B) 18.5
(C) 20.5
(D) 22.5
答案:
登入後查看
統計:
A(69), B(140), C(416), D(39), E(0) #3076963
詳解 (共 3 筆)
r
B2 · 2023/07/07
#5873517
隔艙數n=1艙內密度d=1.025GGv...
(共 105 字,隱藏中)
前往觀看
16
0
kebab
B4 · 2024/03/09
#6042230
5
0
馬英精
B5 · 2026/02/27
#7305769
0
0
相關試題
1. 若依據如下摩利斯近似式求浮心位罝,式中的AW值為何?【式中:Ⅴ=排水容積;d=平均 吃水】浮心高度(KB)=(2.5 d-Ⅴ/AW)/3 (A) 船長 (B) 水線面積 (C) 船寬 (D) 模深
#3076928
2. 船舶由平衡狀態改變為某角度之傾斜狀態所需要之「功」,其名稱為何? (A) 動穩度 (B) 靜穩度 (C) 初穩度 (D) 終穩度
#3076929
3. 一般船舶結構佈置應與若干主要因素相互調和,惟仍應以不影響其抵抗預定負荷要求為原則 ,下列敘述何者為錯誤? (A) 艙區規劃 (B) 緊急逃脫 (C) 碼頭船席 (D) 貨物裝卸
#3076930
4. 根據不同負荷對船體作用產生的效果,作用在船體上的應力大致可以分為縱向彎矩、縱向扭 矩、橫向作用力及局部作用力。請問「當船舶首尾部分的裝載在船體中心線兩側不對稱時,或當船 舶在斜浪中航行時」所造成之應力為何? (A) 縱向彎矩 (B) 縱向扭矩 (C) 橫向作用力 (D) 局部作用力
#3076931
5. 依據MARPOL附則--V有關一般船舶之食物廢棄物垃圾於一般水域拋棄之規定,下列敘述何 者正確? (A) 不得拋棄 (B) 未經粉碎者,於離岸3浬外 (C) 未經粉碎者,於離岸12浬外 (D) 未經粉碎者,於離岸25浬外
#3076932
6. SOLAS公約所定義的A級隔艙(指艙壁和甲板所構成的隔艙)的定義為何? (A) 鋼材或其他同等材料所構造,並於標準耐火試驗經過三十分鐘之後,應能阻止煙及火焰通過者 (B) 鋼材或其他同等材料所構造,並於標準耐火試驗經過六十分鐘之後,應能阻止煙及火焰通過者 (C) 鋼材或其他同等材料所構造,並於標準耐火試驗經過十五分鐘之後,應能阻止煙及火焰通過者 (D) 鋼材或其他同等材料所構造,並於標準耐火試驗經過四十五分鐘之後,應能阻止煙及火焰通過者
#3076933
7. 依MARPOL73/78國際公約附則II規定,下列有關液貨紀錄簿的敘述何者錯誤? (A) 船長於每頁簽署 (B) 自最後記載之日起保存在船兩年 (C) 持有NLS證書之船舶,其記載至少為英文、法文或西班牙文 (D) 負責作業之甲級船員簽名
#3076934
8. 對於船舶航行中發現穩性不足時,應可採取的應急措施的描述,下列何者為不正確? (A) 二層底艙注滿壓載水降低重心 (B) 必要時將甲板貨物拋入海中 (C) 為保持航向減少橫搖,應快速應用大舵角穩住航向 (D) 放鬆本船橫向拖船拖纜
#3076935
9. 「1973年防止船舶污染國際公約之1978年議定書」(MARPOL)實施後,在1992年通過修正 案,將附錄I原規定「油類瞬間排洩率不超過60公升/浬」,修改為何? (A) 油類瞬間排洩率不超過30公升/浬 (B) 油類瞬間排洩率不超過40公升/浬 (C) 油類瞬間排洩率不超過50公升/浬 (D) 油類瞬間排洩率不超過80公升/浬
#3076936
10. 依MARPOL國際公約附則I規定,下列哪一項有關檢驗後矯正措施之敘述是錯誤的? (A) 如果船舶未依規定實施矯正措施,則應撤銷其證書並通知其主管官署 (B) 驗船機構判定船舶出海航行之後將不致對海上環境構成不合理危害之威脅時,應允許其開航 (C) 驗船師如果判定船舶或其所屬設備的實質狀況與證書所載事項不符合時,應立即採取矯正措施 (D) 如果應實施矯正措施之船舶已經駛入其他締約國港口,則不需再通知該港口當局
#3076937
相關試卷
115年 - 115-1 航海人員測驗_一等船副:船舶操作與船上人員管理#137839
2026 年 · #137839
114年 - 114-4 航海人員測驗_一等船副:船舶操作與船上人員管理#135846
2025 年 · #135846
114年 - 114 公務升官等考試_薦任_海巡技術:船舶操作與船上人員管理#133186
2025 年 · #133186
114年 - 114-3 航海人員測驗:一等船副_船舶操作與船上人員管理#130643
2025 年 · #130643
114年 - 114 海岸巡防特種考試_四等_海洋巡護科航海組:船舶操作與船上人員管理概要#130197
2025 年 · #130197
114年 - 114 海岸巡防特種考試_三等_海洋巡護科航海組:船舶操作與船上人員管理#130191
2025 年 · #130191
114年 - 114 一般警察特種考試_四等_水上警察人員航海組:船舶操作與船上人員管理概要#127659
2025 年 · #127659
114年 - 114-2 航海人員測驗_一等船副:船舶操作與船上人員管理#127556
2025 年 · #127556
114年 - 114-1 航海人員測驗_一等船副:船舶操作與船上人員管理#125836
2025 年 · #125836
113年 - 113-1 航海人員測驗_二等船副:船舶操作與船上人員管理概要#126034
2024 年 · #126034