阿摩線上測驗
登入
首頁
>
輻射安全證書◆游離輻射防護專業
>
113年 - 113-2 核能安全委員會_輻射安全證書:游離輻射防護專業#124993
> 試題詳解
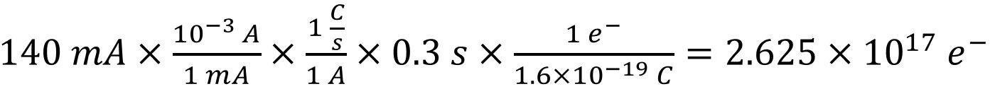
36. X 光管的照射條件:電壓 85 kVp,管電流 140 mA,照射時間 0.3 秒,請問共有多少電子從陰極跑向陽極?
(A)
(B)
(C)
(D)
答案:
登入後查看
統計:
A(36), B(31), C(43), D(74), E(0) #3374743
詳解 (共 1 筆)
床編故事的粉絲
B1 · 2025/04/06
#6362125
要記得一些單位換算
1. 1A=1C/s
2. 1e
-
(電子)=1.6*10
-19
C(庫倫)
2
0
私人筆記 (共 1 筆)
MRIII
2025/01/21
私人筆記#6673589
未解鎖
題
(共 1 字,隱藏中)
前往觀看
4
0
相關試題
1. 受輻射照射後,下列何者不屬於延遲效應? (A)壽命縮短 (B)細胞修復 (C)白內障 (D)癌症
#3374708
2. 有一放射性試樣測得計數值為 104 計數,則其百分標準偏差(%)為多少? (A) 10% (B) 5% (C) 1% (D) 0.1%
#3374709
3. 有一個 2 公斤的腫瘤接受了 4 焦耳的輻射能量,試問腫瘤的吸收劑量為多少戈雷? (A) 0.5 (B) 2 (C) 4 (D) 8
#3374710
4. 某人的甲狀腺( = 0.03)及乳腺( = 0.15)受到 X 光照射,分別接受了 10 mGy 與 25 mGy 的吸收劑量,其餘器官均未受曝露,則此人共接受了多少有效劑量? (A) 2.25 mGy (B) 2.25 mSv (C) 4.05 mGy (D) 4.05 mSv
#3374711
5. 下列哪些為正確的體外曝露防護基本原則: A.接受曝露時間越短愈好、B.劑量與距離平 方成反比、C.應加適當之屏蔽、D.不在輻射作業場所吃東西? (A)僅 AB (B)僅 BC (C)僅 CD (D)僅 ABC
#3374712
6. 某一原子的 K 層束縛能為 70 keV,而 L 層為 11 keV,假若電子由 L 層過渡到 K 層, 則其所釋放的能量為多少 keV? (A) 11 (B) 59 (C) 70 (D) 81
#3374713
7. 關於比例計數器的敘述,下列何者為非? (A)工作電壓較游離腔高 (B)必須保持在液態氮的環境溫度下 (C)填充的 P-10 氣體含有 90% Ar 及 10% CH4 (D)工作電壓增加時,收集的離子對訊號也增加
#3374714
8. 以下列何種形式衰變至 99Tc?(A) β 衰變(β decay)(B)內轉換(internal conversion)(C)同質異構躍遷(isomeric transition)(D)電子捕獲(electron capture)
#3374715
9. Co-60 進行貝他蛻變( )形成子核種,其子核種的原子序比 Co-60 的原子序,將如何變 化? (A)增加 1 (B)不變 (C)減少 1 (D)減少 2
#3374716
10. 下列何種組合產生的制動輻射產率最大? (A) 1 MeV 的電子撞擊鎢(原子序 74)靶 (B) 1 MeV 的電子撞擊鉛(原子序 82)靶 (C) 3 MeV 的電子撞擊鋁(原子序 13)靶 (D) 5 MeV 的電子撞擊碳(原子序 6)靶
#3374717
相關試卷
114年 - 114-2 核能安全委員會_輻射安全證書:游離輻射防護專業#132412
2025 年 · #132412
114年 - 114-1 核能安全委員會_輻射安全證書:游離輻射防護專業#126904
2025 年 · #126904
113年 - 113-2 核能安全委員會_輻射安全證書:游離輻射防護專業#124993
2024 年 · #124993
113年 - 113-1 核能安全委員會委員會_輻射安全證書:游離輻射防護專業#121986
2024 年 · #121986
112年 - 112-2 行政院原子能委員會_輻射安全證書:游離輻射防護專業#118667
2023 年 · #118667
112年 - 112-1 行政院原子能委員會「輻射安全證書」測驗試題:游離輻射防護專業#114245
2023 年 · #114245
111年 - 111-2 行政院原子能委員會_輻射安全證書:游離輻射防護專業#111543
2022 年 · #111543
111年 - 111-1 行政院原子能委員會_輻射安全證書:游離輻射防護專業#110179
2022 年 · #110179
110年 - 110-2 行政院原子能委員會_輻射安全證書:游離輻射防護專業#104406
2021 年 · #104406
110年 - 110-1 行政院原子能委員會_輻射安全證書:游離輻射防護專業#98721
2021 年 · #98721