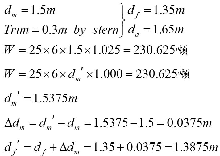
39. 長25m,寬6m,平均吃水為1.5m之箱形駁船,以0.3m之艉重俯仰差浮於比重1.025之海水中,如其行駛進入比重1.0之淡水中時,則其艏吃水變為多少m?
(A) 1.383
(B) 1.483
(C) 1.583
(D) 1.693
答案:登入後查看
統計: A(265), B(78), C(122), D(47), E(0) #3136266
統計: A(265), B(78), C(122), D(47), E(0) #3136266
