4.假設某影像系統之空間解析度受系統中兩成分影響,第一個成分之解析度為 4 lp/mm,第二個成分之解析度為
8 lp/mm,則該影像系統之總解析度最接近下列何者?
(A)4 lp/mm
(B)8 lp/mm
(C)12 lp/mm
(D)32 lp/mm
答案:登入後查看
統計: A(680), B(433), C(175), D(176), E(0) #3135791
統計: A(680), B(433), C(175), D(176), E(0) #3135791
詳解 (共 5 筆)
#6148184
詢問補習班老師後給出的算法公式 

補充

33
0
#6503763
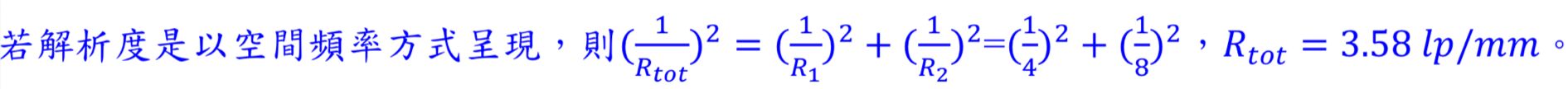
109-2核醫第68題是常見的整體空間解析度計算方式,單位是mm:

ㅤㅤ
但是這一題給的單位是lp/mm,要先換算成mm才能使用這條公式:
第一個成分之解析度為 4 lp/mm => 1/(2*4) = 0.125mm/(pixel)
第二個成分之解析度為 8 lp/mm => 1/(2*8) = 0.0625mm/(pixel)
ㅤㅤ
帶進去算總解析度mm/(pixel)

ㅤㅤ
最後再把mm/(pixel)換成lp/mm => 1/(0.1398*2)=3.58
選最接近的(A)
8
0