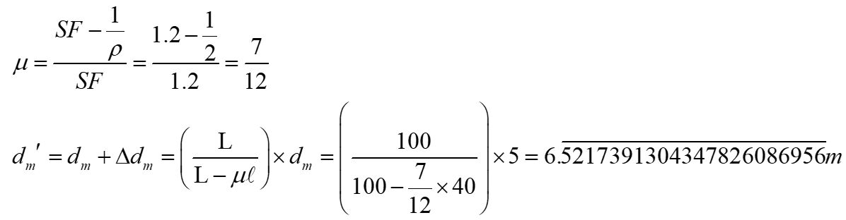
4. 某箱形駁船船長寬深為100 m✕9 m✕7 m,且縱平浮吃水為5 m,船舯部有一個裝有貨物的艙間 ,長度為40 m,貨物的裝載因素為1.2m3 /ton,密度為2ton/m3 ,若此艙間受損浸水,試求箱形駁船新吃水?
(A) 5.77 m
(B) 6.02 m
(C) 6.27 m
(D) 6.52 m
答案:登入後查看
統計: A(89), B(159), C(176), D(214), E(0) #2439290
統計: A(89), B(159), C(176), D(214), E(0) #2439290
詳解 (共 3 筆)
#7303822

0
0