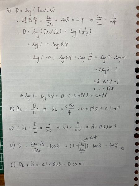
40.厚 4m 之煙層,測得 40%之光穿過,請問下列何者正確?(log2=0.301,log3=0.477)
(A)光學密度為 0.602
(B)單位長度之光學密度為 0.2\"6225ab5bb53ed.jpg\"
(C)消光係數 0.128\"6225ab4ef40ba.jpg\"
(D)減光率為 60%
(E)單位長度之光學密度與消光係數之和為 1.02\"6225ab54c08e6.jpg\"

答案:登入後查看
統計: A(89), B(118), C(137), D(467), E(98) #2883118

詳解 (共 4 筆)

#5492610
12
0
#5381640
警大釋疑

(共 7 字,隱藏中)
前往觀看
11
0
#5384287
四等會不會考,不曉得== 但在11版 ...

(共 33 字,隱藏中)
前往觀看
10
0
#6006734

光學密度 D=2-log(100-S)
DL = D / L = K / 2.3
K :消光係數(m¯1
L :煙層厚度(m)
S :減光率
DL:單位長度之光學密度  (m-1)

依題目: 厚 4m 之煙層,測得 40%之光穿過,請問下列何者正確?(log2=0.301,log3=0.477)
已知煙層厚度L=4 m, 透光率40% <減光率為100%-40%=60%>
求光學密度(D)、單位長度之光學密度(DL)、消光係數(K)、減光率(S)以及單位長度之光學密度(DL)與消光係數(K)之和
D=2-log(100-S)
   = 2 - log (100-60)         = 2 - log 40
   = 2 - log (2*2*10)         = 2 - (log 2 + log 2 + log 10)
   = 2 - (0.3010 *2 + 1 )    = 0.398

D = K * L / 2.3 -> K = 2.3 * D / L
                                = 2.3 * 0.398 / 4 
                            K  = 0.229 m-1
DL = D / L           or  DL= K / 2.3
     = 0.398 / 4    or       = 0.229 / 2.3
     = 0.0995 m-1           = 0.09957 m-1

DL + K = 0.0995 + 0.229
            = 0.329

比對答案:
(A) 光學密度為 0.602               ->D = 0.398
(B) 單位長度之光學密度為 0.2 ->DL = 0.099 m-1
(C) 消光係數 0.128                    ->K = 0.229 m-1
(D) 減光率為 60%                      -> S = 60%
(E) 單位長度之光學密度與消光係數之和為 1.02  ->DL + K = 0.329

5
0