阿摩線上測驗
登入
首頁
>
轉學考-普通化學
>
113年 - [非官方正解]113 臺北醫學大學_學士班寒假轉學招生考試試題:普通化學#125010
> 試題詳解
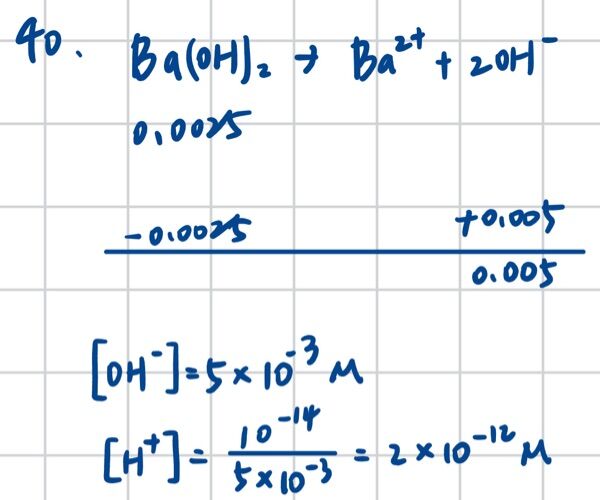
40. 0.0025 M Ba(OH)
2
在 25 ℃時,溶液的水合氫離子濃度是多少?
(A)
(B)
(C)
(D)
答案:
登入後查看
統計:
A(3), B(22), C(8), D(2), E(0) #3375243
詳解 (共 2 筆)
MoAI - 您的AI助手
B1 · 2025/09/29
#6811772
1. 題目解析 這道題目要求我們計算在 ...
(共 1012 字,隱藏中)
前往觀看
6
0
鳩佔鵲巢咖啡
B2 · 2026/01/19
#7281632
0
0
相關試題
1. 在 25 ℃時,某一元酸 1 M 時之解離度為 0.01%,0.01 M 時之解離度為 0.1%,則此二溶液之 pH 值差為若干? (A) 1 (B) 2 (C) 3 (D) 4
#3375204
2. 依據有效數字(significant figures)運算原則,下列何者正確? 2.1 × 1.275 ÷ 0.0325 × 0.72317 = _____ (A) 59.57808 (B) 59.578 (C) 59.5 (D) 60
#3375205
3. 在 NaCl 的 Born–Haber 循環中,下列哪一個過程對應於 Cl 的電子親和勢(electron affinity)? (A) (B) (C) (D)
#3375206
4. BaCl2 溶液與下列何者反應不產生沉澱? (A) 碳酸鈉 (B) 硝酸銀 (C) 氫氧化鉀 (D) 硫酸鎂
#3375207
5. 某反應由實驗得下列資料,則此反應的速率定律式為: (A) R = k (B) R = k[A] (C) R = k[A]2 (D) R = k[A]3
#3375208
6. CO2、H2O 及 C3H8之莫耳生成熱分別為 ΔH1、ΔH2、ΔH3,試問 C3H8之莫耳燃燒熱為何? (A) ΔH1+ΔH2+ΔH3 (B) ΔH1+ΔH2-ΔH3 (C) 3ΔH1+4ΔH2+ΔH3 (D) 3ΔH1+4ΔH2-ΔH3
#3375209
7. 下列哪一個分子的碳-碳鍵最長? (A) H2CCO (B) H3CCH3 (C) H2CCH2 (D) HCCH
#3375210
8. 根據氫原子的波耳(Bohr)模型,我們可以得出結論,將電子從 n = 4 激發到 n = 5 所需的能 量_____將電子從 n = 5 激發到 n = 6 所需的能量。 (A) 少於 (B) 大於 (C) 等於 (D) 等於或少於
#3375211
9. 鋅銅伏打電池表示如下: 下列哪一項敘述是錯誤的? (A) 銅電極為陽極 (B) 電子經由外電路從鋅電極流向銅電極 (C) 放電時銅電極發生還原 (D) 放電過程中濃度降低
#3375212
10. 哪一種分子或離子具有與相同的分子幾何形狀? (A) SeO3 (B) (C) SO3 (D)
#3375213
相關試卷
114年 - 114 國立臺灣大學_轉學生招生考試:普通化學(C)#133429
2025 年 · #133429
114年 - 114 嘉南藥理大學_日間部四年制單獨招生藥學系考試_四技一年級:化學#129835
2025 年 · #129835
113年 - 113 嘉南藥理大學_日間部四年制單獨招生藥學系考試_四技一年級:化學#127157
2024 年 · #127157
113年 - [非官方正解]113 臺北醫學大學_學士班寒假轉學招生考試試題:普通化學#125010
2024 年 · #125010
113年 - 113-1 嘉南藥理大學_轉學招生藥學系考試試題_四技三年級:普通化學#121561
2024 年 · #121561
112年 - 112 臺灣綜合大學系統_學士班轉學生聯合招生考試試題:普通化學A#120232
2023 年 · #120232
112年 - 112-2 嘉南藥理大學_轉系招生藥學系考試試題_四技一年級:普通化學#119241
2023 年 · #119241
112年 - 112 臺北醫學大學_寒假轉學入學考試試題:普通化學#118592
2023 年 · #118592
112年 - 112-1 嘉南藥理大學_轉學暨轉系招生藥學系考試試題_四技二年級:普通化學#115839
2023 年 · #115839
112年 - 112 嘉南藥理大學科技校院_日間部四年制申請入學招生試題_藥學系:化學#115802
2023 年 · #115802