阿摩線上測驗
登入
首頁
>
台電◆電工機械
>
107年 - 107-12 台灣電力公司_新進僱用人員甄試:電工機械#73757
> 試題詳解
試題詳解
試卷:
107年 - 107-12 台灣電力公司_新進僱用人員甄試:電工機械#73757 |
科目:
台電◆電工機械
試卷資訊
試卷名稱:
107年 - 107-12 台灣電力公司_新進僱用人員甄試:電工機械#73757
年份:
107年
科目:
台電◆電工機械
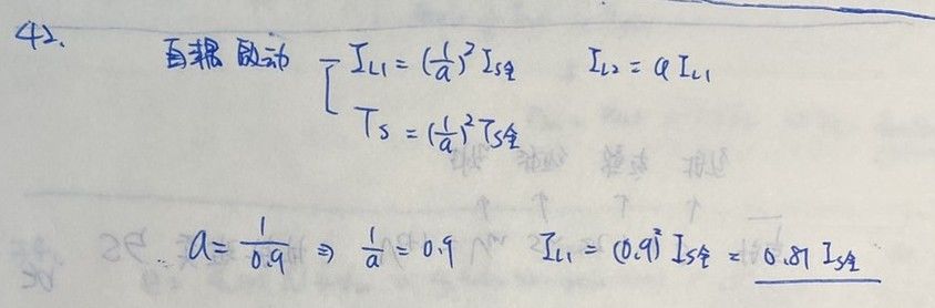
42. 三相感應電動機啟動時,利用補償器予以降壓,當電壓降至全壓的90 %時,其啟動轉矩為全 壓啟動轉矩的多少%?
(A) 121
(B) 90
(C) 81
(D) 50
正確答案:
登入後查看
詳解 (共 1 筆)
郭志仁
B1 · 2019/02/14
推薦的詳解#3198259
未解鎖
0.9^2=0.81
(共 12 字,隱藏中)
前往觀看
3
0
私人筆記 (共 1 筆)
【給你考運】勞贖
2023/01/22
私人筆記#4836962
未解鎖
個人答案試寫(僅供參考)
(共 12 字,隱藏中)
前往觀看
7
0