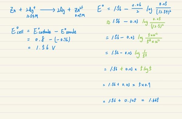
44. 一電池由鋅電極浸在 Zn2+溶液中及銀電極浸在 Ag+溶液中組成
Zn2+ + 2e– → Zn ε° = – 0.76 V
Ag+ + e– → Ag ε° = 0.80 V
當[Zn2+]0 = 0.050 M 和 [Ag+]0 = 12.54 M 時,試求此電池的電池電位?
(A) 1.35 V
(B) 1.46 V
(C) 1.66 V
(D) 1.77 V
答案:登入後查看
統計: A(21), B(94), C(320), D(58), E(0) #2430258
統計: A(21), B(94), C(320), D(58), E(0) #2430258
詳解 (共 3 筆)
#6185847
直接看成12.5來算比較容易
4
1
#4975904
求救 不懂
0
1