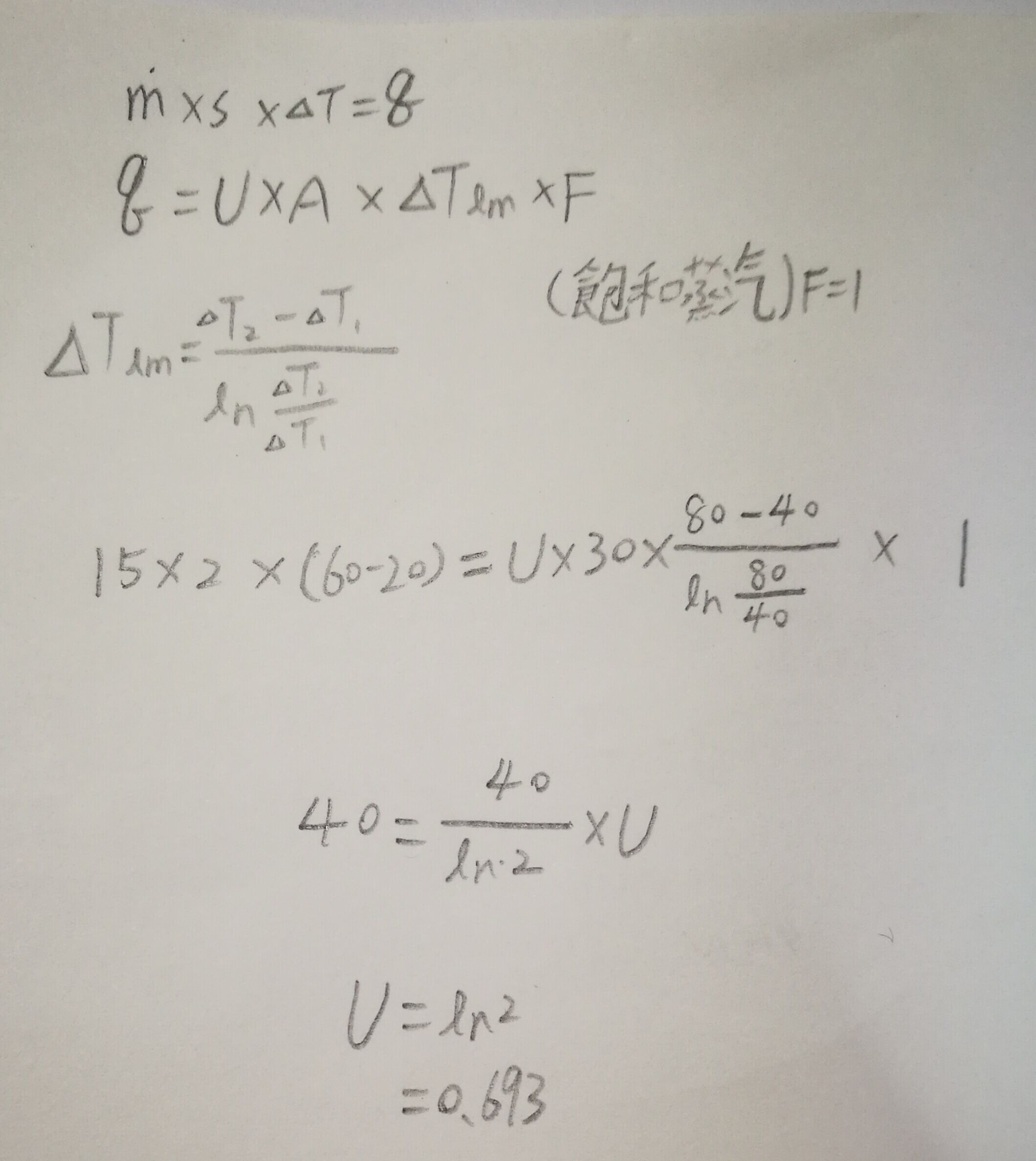
45. 某1-2殼管熱交換器,於殼側通入 100 °C 飽和水蒸汽,管側流入 20 °C 的油,流率為 15 kg/s, 被加熱至 60 °C 後離開熱交換器,比熱為 2 kJ / kg.K。已知水蒸汽被凝結成等溫的冷凝水, 管束的總表面積為 30 m 2 ,則熱交換器的總熱傳係數為多少 kW / m 2 .K? ( ln 2 = 0.693 )
(A) 0.173
(B) 0.347
(C) 0.693
(D) 1.386
答案:登入後查看
統計: A(11), B(12), C(130), D(8), E(0) #2697616
統計: A(11), B(12), C(130), D(8), E(0) #2697616
詳解 (共 2 筆)
#6280837

0
0
#5666257
45. 某1-2殼管熱交換器,於殼側通入 100 °C 飽和水蒸汽,管側流入 20 °C 的油,流率為 15 kg/s, 被加熱至 60 °C 後離開熱交換器,比熱為 2 kJ / kg.K。已知水蒸汽被凝結成等溫的冷凝水, 管束的總表面積為 30 m 2 ,則熱交換器的總熱傳係數為多少 kW / m 2 .K? ( ln 2 = 0.693 )
判斷順向或逆向
殼側100度->100度 30m2 *???kW / m2.K
管側20度->60度 15 kg/s*2 kJ / kg.K*(60-20)=1200kJ/s
殼側少了溫度
ln 2 = 0.693
管束均溫=(100-20)-(100-60)/ln(100-20)/ln(100-60)
=80-40/0.693=57.7
kW=kJ/S
57.7K*30m2 *???kW / m2.K=1200kJ/s
57.7*30*???kJ/S=1200
判斷順向或逆向
殼側100度->100度 30m2 *???kW / m2.K
管側20度->60度 15 kg/s*2 kJ / kg.K*(60-20)=1200kJ/s
殼側少了溫度
ln 2 = 0.693
管束均溫=(100-20)-(100-60)/ln(100-20)/ln(100-60)
=80-40/0.693=57.7
kW=kJ/S
57.7K*30m2 *???kW / m2.K=1200kJ/s
57.7*30*???kJ/S=1200
0
0