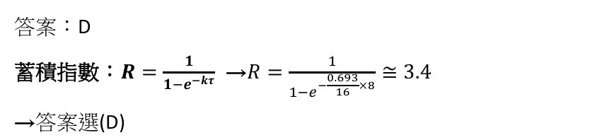
49.承上題,已知此藥品在病人Ⅰ之排除半衰期為16 hr,則病人Ⅰ於其給藥頻率下,其穩定狀態時之 蓄積指數(accumulation index)約為多少?
(A)1.0
(B)1.3
(C)2.0
(D)3.4
答案:登入後查看
統計: A(46), B(154), C(204), D(457), E(0) #3488477
統計: A(46), B(154), C(204), D(457), E(0) #3488477
詳解 (共 8 筆)
#6573875

4
0
#6562233
[一次通過還願中,主要針對題目本身進行解析或提供考試時的解題想法]
[若解析不夠詳盡/侵害權益,煩請聯繫修正/刪除]

3
0
#6561948

2
0
#6633937
τ=8
K=0.693 / t(1/2)=0.693/16
代入公式
R=1/(1-0.7071)=3.414
2
0
