49.某藥品屬一室藥動性質,每12小時靜脈注射500 mg,已達穩定狀態,注射一劑後抽血得到數據如下表,此藥 的半衰期約為多少小時? 5c4ea9d02485e.jpg
(A)2.8
(B)3.3
(C)4.5
(D)6.6

答案:登入後查看
統計: A(365), B(7790), C(727), D(253), E(0) #1943179

詳解 (共 7 筆)

#3181342
3=30*e-11kk=0.209hr-...
(共 44 字,隱藏中)
前往觀看
64
0
#4615198
<速解>30->15-...
(共 81 字,隱藏中)
前往觀看
33
1
#4134074

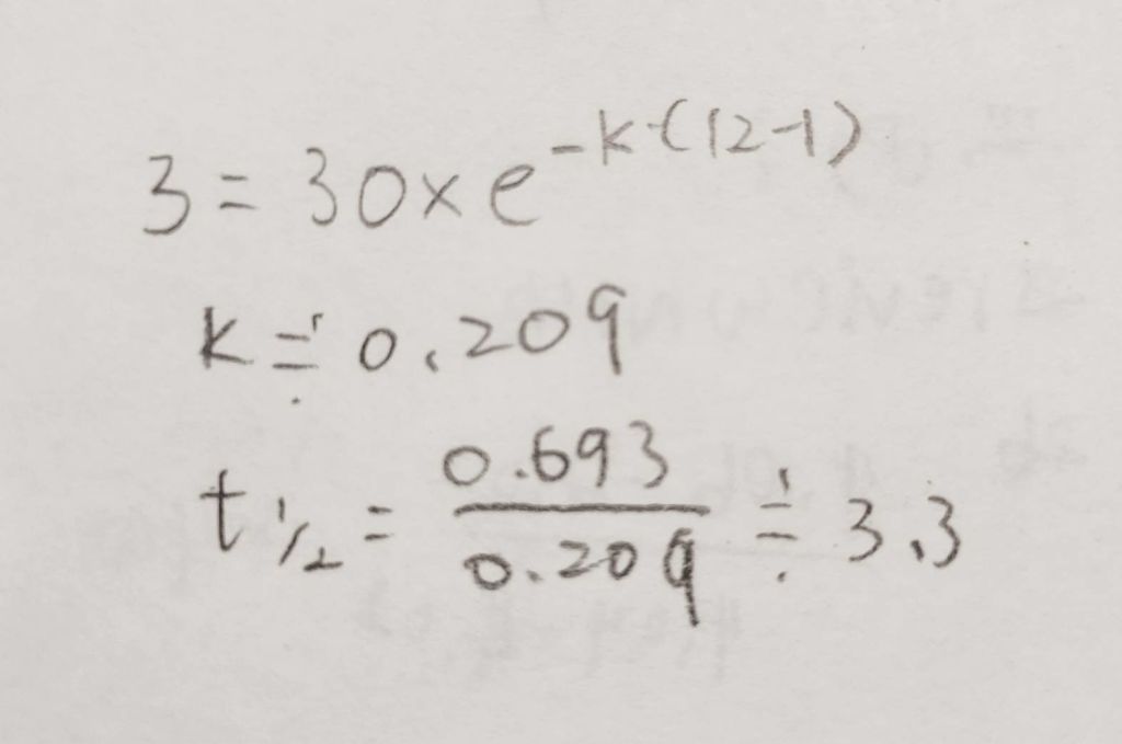
這題概念蠻簡單ㄉ,這邊附上計算過程~

5f095f1713f8c.jpg

我居然計算錯誤XD (國考記得要檢查R)
26
0
#3188549


(共 1 字,隱藏中)
前往觀看
19
0
#6391825
輸注速率相關 ————————————...


(共 6342 字,隱藏中)
前往觀看
2
0
#5547048

這題目 t 應該帶入t = 12,  比較對
如果只帶入t = 11那麼 11~12之間濃度並未計算

出題老師答案設定t =11帶入,

2
2
#6391795
lnC=lnC0 -kt
ㅤㅤ
ln30=lnC0-k×1
ㅤㅤ
ln3=lnC0-k×12
ㅤㅤ
ln(30/3)=11k
ㅤㅤ
k=0.209 hr -1
ㅤㅤ
t½=3.315hr
ㅤㅤ
ㅤㅤ
1
0

私人筆記 (共 2 筆)

私人筆記#5979601
未解鎖
高中觀念解: 已知此藥從第1小時至第12...
(共 139 字,隱藏中)
前往觀看
4
0
私人筆記#6563647
未解鎖
3=30e^-(12-1)k k=0.2...
(共 52 字,隱藏中)
前往觀看
3
0