5. 下列哪一個選項為〔(2x2+x-3)-(-x2-3x+4)〕÷(x-1)的商式?
(A) 3x-7
(B) 3x+7
(C) x-1
(D) x+1
(A) 3x-7
(B) 3x+7
(C) x-1
(D) x+1
答案:登入後查看
統計: A(9), B(114), C(13), D(4), E(0) #925247
統計: A(9), B(114), C(13), D(4), E(0) #925247
詳解 (共 2 筆)
#1143154
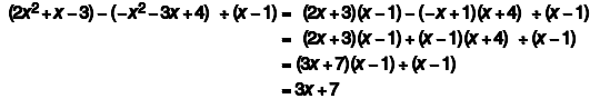
(3x^2-2x-7)/(x-1)
→(3x^2-2x-7)-3x(x-1)
→(3x^2-2x-7)-(3x^2-3x)=x-7
→(x-7)-7(x-1)
→(x-7)-(7x-7)=-6x
商式:3x+7,餘式:-6x
1
0
#5958115


選B
0
0