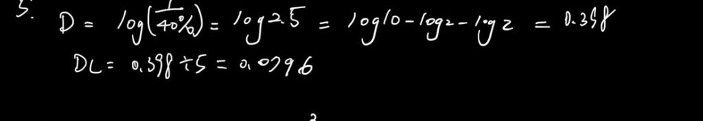
5. 厚度 5m 的煙層,測得有 40%的光穿過,則其單位長度的光學密度約多少 (log2=0.3010, log3=0.4771)?
(A)0.0796
(B)0.111
(C)0.2
(D)0.265
答案:登入後查看
統計: A(316), B(160), C(145), D(119), E(0) #2689222
統計: A(316), B(160), C(145), D(119), E(0) #2689222
詳解 (共 4 筆)
#4704986

7
0
#4746351
log2.5
=log(10/4)
=log10-log4
=1-2log2
=1-2*0.301
=0.398
1
2
#6113270
Log4=log(2x2)
=log(2)+log(2)
=0.3+0.3=0.6
這題比較難就難在這裡
0
0