5. 若單次不慎飲入氚水,氚水的生物半化期為 10 天,試估計由正常過程把 95%的飲入氚活度排出體外大約需要多少天?
(A) 22
(B) 43
(C) 51
(D) 62
答案:登入後查看
統計: A(30), B(155), C(36), D(12), E(0) #3294775
統計: A(30), B(155), C(36), D(12), E(0) #3294775
詳解 (共 1 筆)
#6361833
第一步、算出有效半衰期
延續上一題用到的公式1/T有效=1/T生物+1/T物理
氚的物理半衰期是12.43年(我也沒有背,網路上查的)

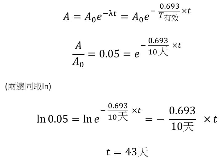
第二步、帶入衰減的公式
把95%排出體外,所以和身體裡面的活度只剩原始活度的5%=0.05

ㅤㅤ
3
0