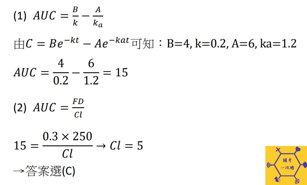
50.口服某藥後其血中濃度經時變化為
。已知口服250 mg經6 hr後,有90%以上藥量經由腸壁細胞 吸收,且其生體可用率為0.3,則此藥品之清除率(L/h)約為若干?(C:mg/L;t:hr)
(A)2.5
(B)7.5
(C)5.0
(D)12.5
答案:登入後查看
統計: A(511), B(369), C(3081), D(238), E(0) #2972804
統計: A(511), B(369), C(3081), D(238), E(0) #2972804
詳解 (共 7 筆)
#5677578


小提醒:
(1) 代入時須注意口服是否發生Flip-flop model
(2) 口服公式須留意是否需乘上”生體可用率”
附上公式圖卡(欲知完整資訊,請FB搜尋:國考一次過社團)
69
0
#6142778
這題有lag time,所以不可以用CL=kVd來算。
1
1