51.下列何者不是morphine的主要代謝途徑?
(A)N-Demethylation
(B)O-Demethylation
(C)3-Glucuronidation
(D)6-Glucuronidation

答案:登入後查看
統計: A(1002), B(3830), C(679), D(371), E(0) #882918

詳解 (共 6 筆)

#1418737
可以從morphine的結構下手,他的2個O都是接H,當然就無法O-Demethylation了
217
1
#1416519
phpeZogEa
107
1
#1406527
codeine 經 O-demethyl...
(共 78 字,隱藏中)
前往觀看
59
0
#2342400
6-Glucuronidation活性代...
(共 30 字,隱藏中)
前往觀看
38
0
#1241963
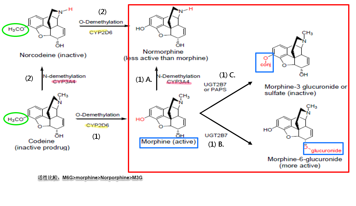
morphine
1. 經 CYP3A4 的 N-demethylation 形成 Normorphine(活性下 降) 
2. 醇性(alcoholic)OH 基(C-6)經 UGT2B7 行 glu.形成活性代謝物
3. 酚性(phenolic)OH 基(C-3)經 UGT2B7/PAPS 行 conj.形成非活性
35
0
#1194823
morphine經肝代謝後主要形成,Mo...
(共 85 字,隱藏中)
前往觀看
22
0

私人筆記 (共 1 筆)

私人筆記#2871333
未解鎖
1.codeine 經 (3)O-dem...
(共 74 字,隱藏中)
前往觀看
8
0