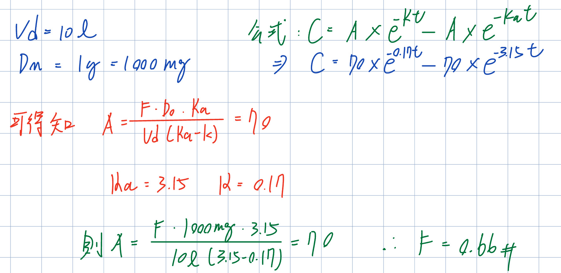
51.已知某藥之分布體積為10 L,口服投與1 g後,得血中濃度經時變化為C=70(e -0.17 t - e-3.15t),則此藥 生體可用率(F)約為若干?(t:hr,C:mg/L)
(A)0.83
(B)0.72
(C)0.66
(D)0.59
詳解 (共 10 筆)
未解鎖
提供另一解法 如果在考場上不幸忘了公式...
未解鎖
C=70(e -0.17t - e-3....
未解鎖
可以直接用Cp來計算 youtube ...
私人筆記 (共 4 筆)
未解鎖
口服一室體公式(每個題型的基本公式一定要...

未解鎖
(自用memo) 口服AUC=70/0...