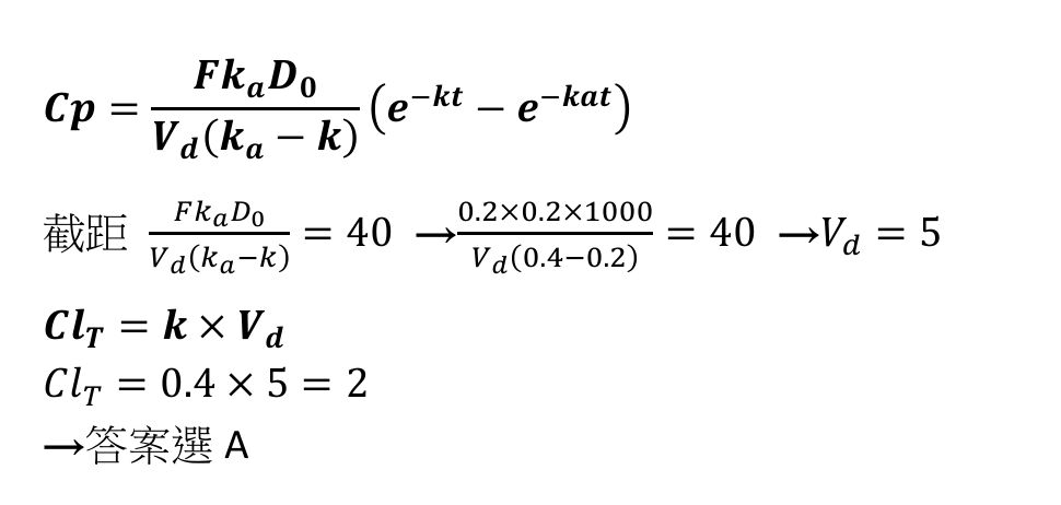
52.則此藥品之清除率(L/h)約為若 干?(C: mg/L;t: hr)
(A)2
(B)4
(C)8
(D)10
答案:登入後查看
統計: A(2643), B(238), C(168), D(301), E(0) #3198790
統計: A(2643), B(238), C(168), D(301), E(0) #3198790
詳解 (共 9 筆)
#6130498
口服的Vd跟Cl都用非體室算(FD/AUC=Cl)
IV二室的Vd可以用初濃度算,Cl只能用非體室
3
0

