阿摩線上測驗
登入
首頁
>
專技 - 藥劑學(包括生物藥劑學)
>
91年 - 91-2 專技檢覈_藥師:藥劑學#11501
> 試題詳解
54 一藥經由靜脈注射後,血中藥物濃度變化以
表示(t 為 hr),則中央室的排除速率常數為多少 hr -1?
(A) 0.3
(B) 0.51
(C) 0.74
(D) 2.4
答案:
登入後查看
統計:
A(26), B(4), C(18), D(7), E(0) #475205
詳解 (共 2 筆)
Nina
B1 · 2020/03/28
#3850841
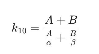
K=ab(A+B)/Ab+Ba
(共 17 字,隱藏中)
前往觀看
3
0
Kita Ikuyo
B2 · 2026/03/30
#7328096
0
0
相關試題
1 溫度對藥物溶解度有其影響,在一定溶媒下,下列敘述何者最正確? (A) 藥物溶解熱(heat of solution)>0 時,溫度越高則溶解度越小 (B) 藥物溶解度,必與絕對溫度成正比 (C) 降低溫度則藥物溶解度越小,代表藥物溶解熱為吸熱反應 (D) 一般鹽類的溶解熱較未解離型藥物,對溫度較敏感
#475152
2 利用分配係數之方法,下列何者不易精準運用與評估? (A) 藥物萃取 (B) 藥物防腐劑之添加 (C) 微膠體(micelles)之包覆能力 (D) 藥物穿透能力(Permeability coefficient)
#475153
3 一藥物在起始濃度提高和藥物之半衰期不受影響時,反應次項為: (A) 零次項 (B) 一次項 (C) 二次項 (D) 三次項
#475154
4 在藥物處方中,下列何者為不常用之共溶媒? (A) 氯仿(Chloroform) (B) 甘油(Glycerin) (C) 酒精(Alcohol) (D) 丙二醇(Propylene glycol)
#475155
5 下列何者不適合於作為口服用藥之輔助媒劑? (A) 乙醇 (B) 甘油 (C) 丙二醇 (D) 異丙醇
#475156
6 常用於腸道 X-光攝影檢查之遮影劑為: (A) Magnesium Sulfate (B) Barium Sulfide (C) Barium Sulfate (D) Barium Sulfite
#475157
7 中華藥典第五版有關甘草流浸膏的敘述何者錯誤? (A) 取甘草粗粉進行滲漉 (B) 以沸水作為浸溶劑 (C) 加入乙醇作為防腐劑 (D) 每毫升含 1 克甘草之有效成分
#475158
8 下列酊劑何者相當於劇藥之酊劑含量規定? (A) 碘酊 (B) 檸檬酊 (C) 吐根酊 (D) 阿片樟腦酊
#475159
9 依照 Stokes’ Law,藥物粒子沉降速率與下列何者之關係是正確的? (A) 與粒徑的平方成正比 (B) 與媒劑之黏度成正比 (C) 與粒子和媒劑密度的差成反比 (D) 與重力加速度成反比
#475160
10 下列何種法定製劑係以蒸氣蒸餾法製作而成? (A) 芳香酏 (B) 芳香醑 (C) 芳香氨醑 (D) 芳香美鼠李流浸膏
#475161
相關試卷
115年 - 115-1 專技高考_藥師(一):藥學(三)(包括藥劑學與生物藥劑學)#137354
2026 年 · #137354
114年 - 114-2 專技高考_藥師(一):藥學(三)(包括藥劑學與生物藥劑學)#128925
2025 年 · #128925
114年 - 114-1 專技高考_藥師(一):藥學(三)(包括藥劑學與生物藥劑學)#125120
2025 年 · #125120
113年 - 113-2 專技高考_藥師(一):藥劑學與生物藥劑學#121688
2024 年 · #121688
113年 - 113-1 專技高考_藥師(一):藥劑學與生物藥劑學#118720
2024 年 · #118720
112年 - 112-2 專技高考_藥師(一):藥劑學與生物藥劑學#115916
2023 年 · #115916
112年 - 112-1 專技高考_藥師(一):藥劑學與生物藥劑學#113163
2023 年 · #113163
111年 - 111-2 專技高考_藥師(一):藥劑學與生物藥劑學#109900
2022 年 · #109900
111年 - 111-1 專技高考_藥師(一):藥劑學與生物藥劑學#106169
2022 年 · #106169
110年 - 110-2 專技高考_藥師(一):藥劑學與生物藥劑學#100434
2021 年 · #100434