54.已知某藥在體內之動態遵循線性一室模式。當以快速靜脈注射5 mg後,血中濃度(C:ng/mL)隨時 間(t:hr)之變化為C=
。而在口服給與50 mg後,血中濃度變化為C=2A(
),且其原型藥物由尿中排泄之總量為20 mg。前述公式中A為常數,已知該藥之腎清除率為10 L/hr,則其口服生體可用率約為多少?
(A)0.1
(B)0.2
(C)0.4
(D)0.8
答案:登入後查看
統計: A(83), B(296), C(391), D(1647), E(0) #3380765
統計: A(83), B(296), C(391), D(1647), E(0) #3380765
詳解 (共 8 筆)
#6348031
感謝某用心良苦的主任為了讓我們國考完半年後複習藥動提出了期中考
最後在6:20宣布早八不用考試
剛好覺得這個題組很有意思來留個紀念~2025.03.26
ㅤㅤ
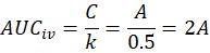
快速靜脈注射5 mg:C=Ae-0.5t→k=0.5
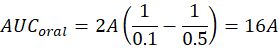
口服給與50 mg:C=2A(e-0.1t-e-0.5t)→k=0.5、ka=0.1
解法1:聯立求解
bolus:
oral:
聯立:
ㅤㅤ
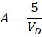
解法2:AUC
ㅤㅤ
13
1
#6549750
我是用那個絕對生體可用率的式子算的

ㅤㅤ
1
0