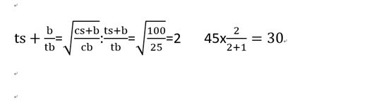
55.若計數某樣品與背景可使用的時間共45分鐘,初步計數得到背景值約為25 cpm,樣品(含背景)約為100
cpm,為使統計誤差最小,樣品計測應計數多少分鐘?
(A)30
(B)20
(C)15
(D)10
答案:登入後查看
統計: A(1625), B(201), C(359), D(109), E(0) #1838084
統計: A(1625), B(201), C(359), D(109), E(0) #1838084
詳解 (共 3 筆)
#3467424

1
1