阿摩線上測驗
登入
首頁
>
放射線治療原理與技術學
>
114年 - 114-1 專技高考_醫事放射師:放射線治療原理與技術學#125123
> 試題詳解
55.遠隔放射治療時若鉛擋塊要能提供非治療區域足夠的屏蔽(<5%),則約需達到多少半值層?
(A)2.52
(B)3.22
(C)4.32
(D)5.22
答案:
登入後查看
統計:
A(46), B(87), C(792), D(54), E(0) #3381006
詳解 (共 2 筆)
Matt
B1 · 2025/01/24
#6295331
KHAN's The physics o...
(共 101 字,隱藏中)
前往觀看
12
1
床編故事的粉絲
B2 · 2025/02/09
#6303511
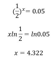
這題是數學題,要算需多少半值層才能達到達到<5%的穿透率。設要x個半值層
9
0
相關試題
41.有關IVBT之Novoste Beta-Cath系統,下列敘述何者錯誤? (A)採用同位素射源 (B)為一手動後荷式導管傳送系統 (C)具備有一個射源導管中心定位裝置 (D)具備有三個內管的輸送導管
#3380992
42.依照美國物理師協會建議有關動脈內照射的處方,下列敘述何者正確?①射源中心向外延伸2 mm, 而對周邊動脈從管內腔半徑向外2 mm ②每個案例,應確定至少三個垂直於導管平面及沿著導管長 度的劑量分布 ③靶體積內的劑量平均值及最大值要報告,而最小值可以忽略 (A)①② (B)②③ (C)①③ (D)僅②
#3380993
43.有一患者接受攝護腺插種近接治療,將放射性核種植入其攝護腺,一個月後其累積的劑量為 42.44 Gy,已知半衰期為59.4天,則此的原始劑量率為多少Gy/hr? (A)0.07 (B)0.7 (C)7.7 (D)18.7
#3380994
44.攝護腺插種的近接治療是屬於下列何種方式? (A)intracavitary brachytherapy (B)intravascular brachytherapy (C)surface mold brachytherapy (D)interstitial brachytherapy
#3380995
45.下列對於kVCBCT及MVCBCT的敘述,何者正確? (A)兩者皆使用MV級光子射束成像 (B)兩者皆不受金屬假影影響 (C)兩者皆可用於治療位置驗證 (D)兩者影像品質大致相同
#3380996
46.使用初始劑量率1 cGy/min的,進行永久性插種治療,當射源完全衰變完後,其累積劑量為若 干Gy?(的半衰期為2.7天) (A)39 (B)56 (C)73 (D)90
#3380997
47.根據美國近接放射治療學會建議,針對early stage cervical cancer的患者在遠隔治療後,合併 使用 HDR intracavitary brachytherapy,若遠隔治療已給予45 Gy,HDR intracavitary brachytherapy之劑量該如何給予? (A)五次,每次8 Gy (B)六次,每次7.5 Gy (C)五次,每次6 Gy (D)六次,每次3 Gy
#3380998
48.X光刀在執行SRS或SRT時會搭載特殊的錐筒,有關此錐筒的敘述,下列何者錯誤? (A)該錐筒的外觀為長型錐筒,材料可以為 Cerrobend 鉛合金,並用不鏽鋼材質包裹 (B)目的是為了降低幾何半影,因為 SRS 或 SRT 通常治療較小的病灶 (C)錐筒的直徑大小範圍為5~30 mm (D)幾何半影大小與 SDD(source to diaphragm distance)為正比,故 SDD 越小越好
#3380999
49.使用機械手臂將放射線從不同的方向射入執行 SRT 的機器為何? (A)加馬刀 (B)弧形刀 (C)電腦刀 (D)螺旋刀
#3381000
50.關於腦脊髓照射(craniospinal irradiation),下列何者錯誤? (A)照射範圍為全腦及脊髓,常用於治療medullonlastoma (B)質子治療適用於腦脊髓照射 (C)強度調控放射治療無法避免多處器官的低劑量照射 (D)腦部及脊髓照野交界使用moving juction技術的目的在於提高照射精準度
#3381001
相關試卷
115年 - 115-1 專技高考_醫事放射師:放射線治療原理與技術學#137343
2026 年 · #137343
114年 - 114-2 專技高考_醫事放射師:放射線治療原理與技術學#128976
2025 年 · #128976
114年 - 114-1 專技高考_醫事放射師:放射線治療原理與技術學#125123
2025 年 · #125123
113年 - 113-2 專技高考_醫事放射師:放射線治療原理與技術學#121690
2024 年 · #121690
113年 - 113-1 專技高考_醫事放射師:放射線治療原理與技術學#118729
2024 年 · #118729
112年 - 112-2 專技高考_醫事放射師:放射線治療原理與技術學#115918
2023 年 · #115918
112年 - 112-1 專技高考_醫事放射師:放射線治療原理與技術學#113156
2023 年 · #113156
111年 - 111-2 專技高考_醫事放射師:放射線治療原理與技術學#109897
2022 年 · #109897
111年 - 111-1 專技高考_醫事放射師:放射線治療原理與技術學#106192
2022 年 · #106192
110年 - 110-2 專技高考_醫事放射師:放射線治療原理與技術學#99950
2021 年 · #99950