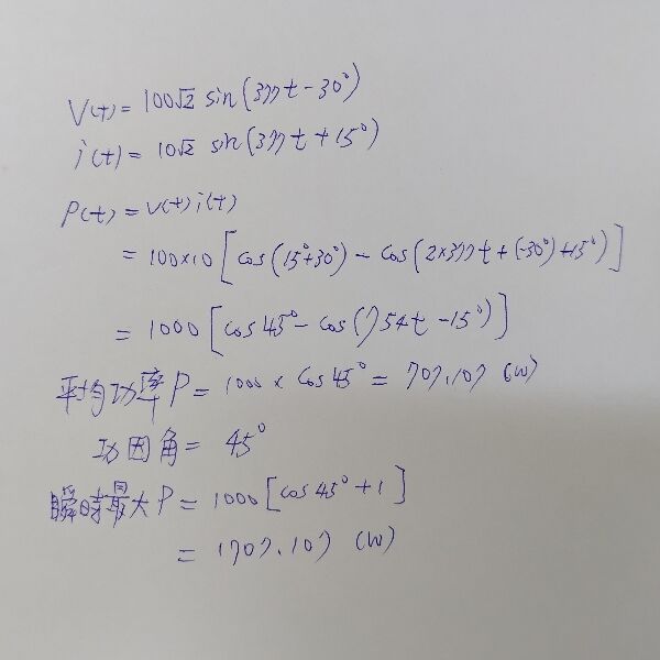
59.某交流負載的端電壓 VL =100 √2 sin(377t - 30°)V ,流經負載的電流 IL = 10√ 2 sin(377t +15°)A ,則此負載的功率因數為 多少?
(A) 1.0
(B) 0.6
(C) 0.707
(D) 0.8
答案:登入後查看
統計: A(178), B(249), C(2017), D(122), E(0) #1711805
統計: A(178), B(249), C(2017), D(122), E(0) #1711805
詳解 (共 2 筆)
#5494881

30-(-15)=45
電壓與電流的相位相差45。
cos45=1/√2=0.707
8
0