59.某藥物在體內的動態遵循一室模式及一階次排除,快速靜脈注射給藥後第3及第5小時的排除速率分別為200及 50 mg/h,此藥之半衰期為若干小時?(ln 2 = 0.693)
(A)0.693
(B)1
(C)2
(D)3
答案:登入後查看
統計: A(462), B(3813), C(249), D(53), E(0) #2972813
統計: A(462), B(3813), C(249), D(53), E(0) #2972813
詳解 (共 10 筆)
#5643726
觀念速解
一室模式一階次排除下,排除速率跟血中濃度成正比
200>50,血中濃度一樣是變成1/4>>>經過兩個半衰期
半衰期為1小時
恭喜你有更多時間可以拿去計算別題了...
114
3
#5677603
48
0
#5704363
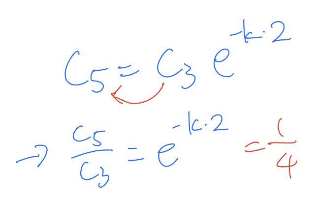
●一階次排除速率=k[C]
k=排除速率常數
[C]=血中藥物濃度
根據題目可以得到
k[C3]=200
k[C5]=50
兩者相除得到
→第五小時血中濃度為第三小時血中濃度的1/4
1.速解:
由濃度剩1/4可得知經過了兩個半衰期,
因為從第三小時到第五小時經過了兩小時,
所以半衰期為1個小時
2.或乖乖從算式去算
解出k=0.693→半衰期為0.693/0.693=1小時
13
0
#6284146
根據原文書的公式推導過程:

3
0
#6013083
順便複習一下公式

3
0
#6147795
D = D0 * e-kt ,而速度為D對T作微分,所以微分後會
dD/dt = [D0/(-K)] * e-kt .......(式1)
而這邊是算速度所以把(式1)做絕對值
200 = [D0/(-K)] * e-k3.......(式2)
50 = [D0/(-K)] * e-k5.......(式3)
式2/式3 就可以得到k
2
1