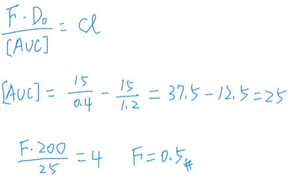
59.某藥遵循一室模式且無 flip-flop 現象,經口服投與 200 mg 之血中濃度變化為
,(
: mg/L;t:h),清除率為 4 L/h,則此藥之生體可用率為多少?
(A)0.4
(B)0.5
(C)0.6
(D)0.7 -2t -0.5t
答案:登入後查看
統計: A(5), B(34), C(2), D(9), E(0) #3818614
統計: A(5), B(34), C(2), D(9), E(0) #3818614
