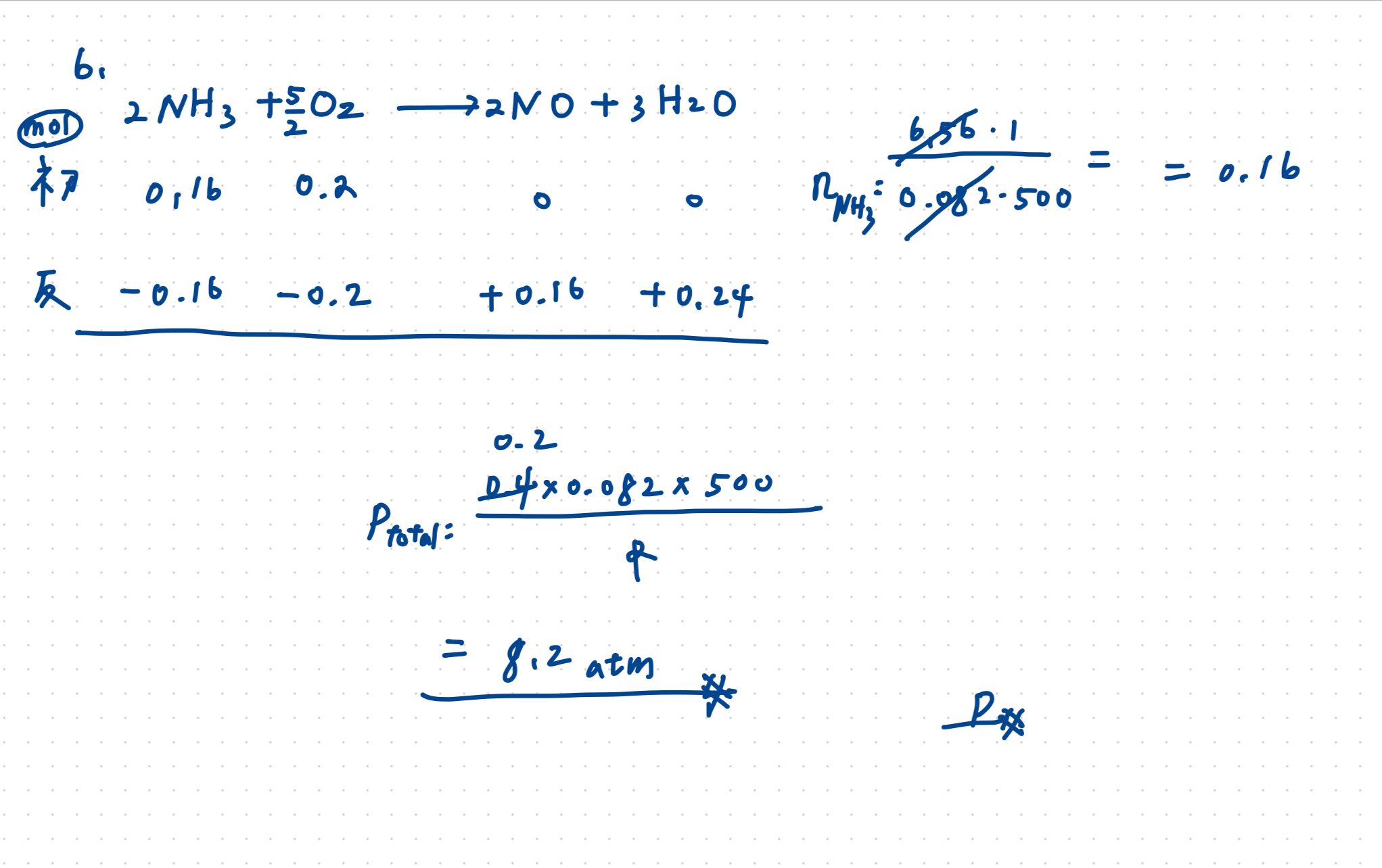
6. 在高溫下,氨氣與氧氣可進行如下的反應:NH3(g) + O2(g)→ NO(g) + H2O(g)(係數未平衡) 如右圖之裝置,左、右各為 1.00 升的容器,中間以體積可忽略的氣體閥門連接。 在 227℃時,先將閥門關閉,左右分別裝入 6.40 g 的氧氣及 6.56 atm 的氨氣,再將 氣體閥門打開,使氣體混合均勻並完全反應。假設反應物及生成物均為理想氣體, 且反應前後溫度不變,則容器內的總壓力約為多少?

(A) 6.56 atm
(B) 7.22 atm
(C) 7.40 atm
(D) 8.20 atm
(E) 14.8 atm
答案:登入後查看
統計: 尚無統計資料
統計: 尚無統計資料
