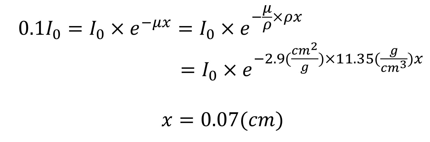
62.已知鉛對70 keV X光的質量衰減係數(mass attenuation coefficient)為2.9 cm2.g-1,若要將此X光強度 降至原始入射值的10%,至少需要多少cm的鉛屏蔽?(鉛的密度為11.35 g.cm-3)
(A)0.01
(B)0.05
(C)0.07
(D)0.12
答案:登入後查看
統計: A(34), B(169), C(983), D(134), E(0) #3199880
統計: A(34), B(169), C(983), D(134), E(0) #3199880
