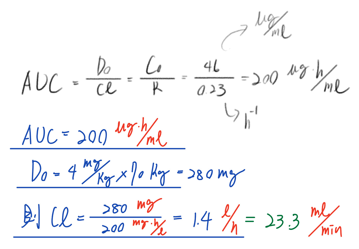
64.承上題,該藥之清除率(Cl)為若干mL/min?
(A)1.4
(B)23.3
(C)70
(D)140
答案:登入後查看
統計: A(1545), B(2500), C(118), D(56), E(0) #2972818
統計: A(1545), B(2500), C(118), D(56), E(0) #2972818
詳解 (共 9 筆)
#5800144

5
0
#6013147
單位要注意⚠️

5
0
#5677610
2
1
#5612765
1
2