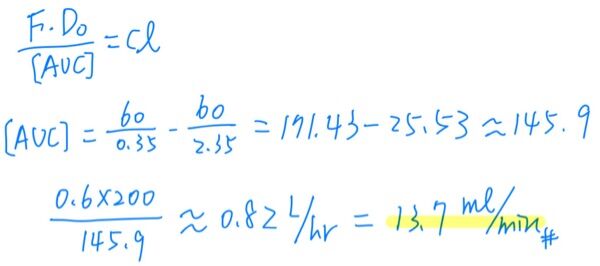
64.某藥品不具 flip-flop 現象,其生體可用率為 0.6。經口服 200 mg 後,體內血中濃度經時變化為 C= 60
,此藥品在體內之清除率約為多少 mL/min?(C:mg/L;t:hr)
(A)8.3
(B)10.4
(C)13.7
(D)15.7
答案:登入後查看
統計: A(6), B(11), C(33), D(2), E(0) #3818619
統計: A(6), B(11), C(33), D(2), E(0) #3818619
