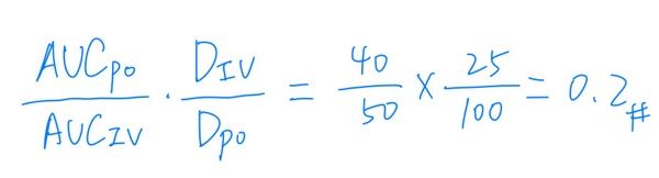
65.某藥遵循線性藥動學性質,下表是以不同劑型或給藥途徑在體內所獲得血中濃度經時曲線下面積,則 50 mg 錠劑的口服絕對生體可用率為多少?

 
(A)0.1
(B)0.2
(C)0.4
(D)0.5

答案:登入後查看
統計: A(3), B(34), C(10), D(2), E(0) #3818620

詳解 (共 3 筆)

#7291776
    補充


(共 9 字,隱藏中)
前往觀看
6
0
#7290757
絕對生體可用率是與靜脈注射劑型做比較,...
(共 101 字,隱藏中)
前往觀看
4
0
#7330270

**絕對生體可用率**要用靜脈注射去算,且靜脈注射放分母


69ce0a62decf3.jpg
0
0