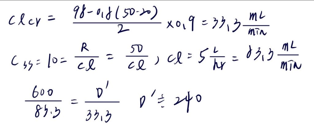
67.曾女士50 歲、60公斤,接受某藥物治療,已知其分布體積為10 L,口服吸收完全且完全經由腎臟過濾排泄。
當腎功能正常之病人以 600 mg Q12H口服給藥,其穩定治療濃度為10 mg/L。曾女士之serum creatinine = 2.0
mg/dL,若維持相同之治療濃度且分布體積維持不變,給藥間隔不變,其劑量應如何調整最適當?
(A)300
(B)240
(C)120
(D)100
答案:登入後查看
統計: A(364), B(2838), C(694), D(155), E(0) #2756396
統計: A(364), B(2838), C(694), D(155), E(0) #2756396
詳解 (共 10 筆)
#5567269
有人是帶100然後女性病人沒乘0.85然後算對的嗎⋯⋯
57
4
#5337605
回6F
以前帶100是因為正常經驗法則,但這題題目有給正常人的Css、R、Vd且全由腎代謝CLcr=CL 根據以上的資訊就可以求出正常人的CL
27
2
#6269579
破綻百出的垃圾題,老師明顯出錯,一堆人幫出題老師想爛招,助紂為虐、為虎作倀
拿Cl當Clcr簡直是天大的笑話,指鹿為馬、是非顛倒、黑白不分、真理不在
不如跟我說
因為Cl(腎):Cl(總)=k(腎):k(總),所以Cl=k
蝦爛,簡直亂七八糟
為什麼當時沒人申覆呢?
理由很簡單,看得出來的人過了也懶得再去看題目;沒過的人又看不出來
僅此而已,但不代表題目就是對的
20
2
#5496150
樓上的算法,體重要用瘦肉體重,需要有身高才能,所以我用另外一個公式算
19
3
#5317228
提供別的算法~
8
9