68.承上題,請問豎脊肌需要出多少力?
(A).328 公斤
(B).298 公斤
(C).268 公斤
(D).238 公斤
答案:登入後查看
統計: A(159), B(885), C(746), D(148), E(0) #2969912
統計: A(159), B(885), C(746), D(148), E(0) #2969912
詳解 (共 6 筆)
#6011678
這題是數學老師出的嗎?
考物理治療基礎學塞這種下流陷阱?
26
0
#6266760
傻眼出這種陷阱,還以為是高中普物考試
3
0
#7146983
備考三週,114-1平均72.9→打氣or好友→免費提供全科筆記
ㅤㅤ

ㅤㅤ
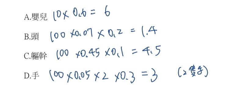
引用上題B2的公開解答
ㅤㅤ
豎脊肌的力*0.05=嬰兒6+頭1.4+軀幹4.5+手3
豎脊肌的力=(6+1.4+4.5+3)/0.05=298
ㅤㅤ
3
0