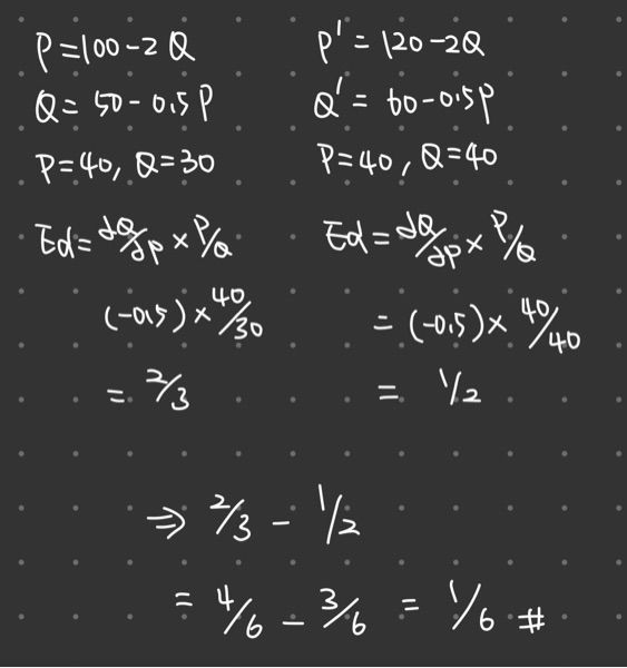
7 假設某物品的反市場需求函數為 p=100 – 2q,其中 p 為價格,q 為數量。如果因為外在的因素(如所得提
高)使新的反市場需求函數變更為 p’=120 – 2q,則當市場價格仍維持 p=40 固定不變時,需求彈性變動為:
(A) 1/6
(B) 1/4
(C) 1/3
(D) 1/2
答案:登入後查看
統計: A(152), B(60), C(94), D(136), E(0) #2910862
統計: A(152), B(60), C(94), D(136), E(0) #2910862
詳解 (共 8 筆)
#5501247

46
0
#5591141
要注意這邊是反需求函數,所以dQ/dP= -1/2
利用dq/dp * p/q即可算出兩條線的需求彈性
再由第一條線的彈性減第二條線的彈性即可
1
0
#6371107
題目問變動
0
0